Лекция 13
ПЛАН:
1. Запись математических предложений в виде формул логики предикатов.
2. Построение противоположных утверждений.
3. Прямая, обратная и противоположные теоремы.
4. Необходимые и достаточные условия.
5. Доказательство методом от противного.
Главная
1. Запись математических предложений в виде формул логики предикатов.
Язык логики предикатов удобен для записи математических предложений. Он дает возможность выражать логические связи между понятиями, записывать определения, теоремы, доказательства. Приведем ряд примеров таких записей.
1) Определение предела числовой последовательности.

Здесь использован трехместный предикат Q(e,n,no):

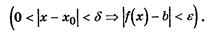
2). Определение предела функции в точке.

Здесь использован трехместный предикат Р(e,d,х):

3). Определение непрерывности функции в точке.
Функция f(x), определенная на множестве Е, непрерывна в точке х0 Î Е, если

Здесь также использован трехместный предикат Р(e,d,х).
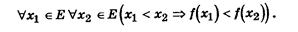
4). Определение возрастающей функции.
Функция f(x), определенная на множестве Е, возрастает на этом множестве, если
|
|
|

Здесь использован двухместный предикат B(x1, x2):

5). Определение ограниченной функции.
Функция f(х), определенная на множестве Е, ограничена на этом множестве, если

Здесь использован двухместный предикат L(x,M):(|f(x)|£M).
Как известно, многие теоремы математики допускают формулировку в виде условных предложений. Например, рассмотрим следующую теорему: «Если точка лежит на биссектрисе угла, то она равноудалена от сторон этого угла». Условием этой теоремы является предложение «Точка лежит на биссектрисе угла», а заключением – предложение «Точка равноудалена от сторон угла». Видим, что и условие, и заключение теоремы представляют собой предикаты, заданные на множествеR2. Обозначая эти предикаты
соответственно через Р(х) и Q(x), где х Î R2, теорему можем записать в виде формулы:

В связи с этим, говоря о строении теоремы, можно выделить в ней три части:1) условие теоремы: предикат Р(х), заданный на множестве R2; 2) заключение теоремы: предикат Q(x), заданный на множестве R2; 3) разъяснительная часть: в ней описывается множество объектов, о которых идет речь в теореме.
2. Построение противоположных утверждений.
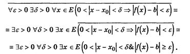
Пусть дано некоторое математическое утверждение А. Ему противоположным будет утверждение
.
Логика предикатов позволяет путем равносильных преобразований формулы
придать ей хорошо обозримый вид.
Так, например, определение ограниченной функции дается формулой:

Определение неограниченной функции мы получим, беря отрицание этой формулы и проводя равносильные преобразования:
|
|
|

Последняя формула дает не негативное, а положительное определение неограниченной функции.
Из приведенного определения видно, что для построения противоположного утверждения к утверждению, заданному формулой логики предикатов, содержащей все кванторы впереди, необходимо заменить все кванторы на противоположные и взять отрицание от предиката, стоящего под знаком кванторов.
Так, утверждение, что
даст формула:

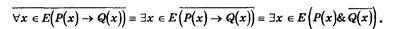
Особый интерес представляет построение утверждения, отрицающего справедливость некоторой теоремы: "хÎE(P(x)®Q(x)).
Это будет утверждение:

Следовательно, чтобы доказать, что теорема "хÎE(P(x)®Q(x)) неверна, достаточно указать такой элемент х Î Е, для которого Р(х) - истина, a Q(x) - ложь, то есть привести контрпример.
Используя данный прием докажем несправедливость утверждений:
- «Если дифференцируемая функция y = f(x) имеет в точке х0 производную, равную нулю (y’=0), то то точка х0 – точка экстремума.» достаточно указать один пример, опровергающий утверждение теоремы. Функция y = x3 в точке х=0 имеет производную у’=3х2 = 0, но эта точка не является точкой экстремума. Значит, теорема не верна.
- «Если в четырехугольнике диагонали равны, то четырехугольник является параллелограммом.» В качестве контрпримера можно привести равнобокую трапецию, у которой диагонали равны, но она не является прямоугольником.
3. Прямая, обратная и противоположная теоремы.
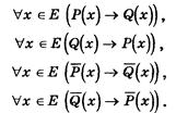
Рассмотрим четыре теоремы:


Пара теорем, у которых условие одной является заключением второй, а условие второй является заключением первой, называются взаимно обратными друг другу.
Так, теоремы (1) и (2), а также (3) и (4) - взаимно обратные теоремы. При этом, если одну из них называют прямой теоремой, то вторая называется обратной.
Пара теорем, у которых условие и заключение одной является отрицанием соответственно условия и заключения другой, называются взаимно противоположными.
Так, теоремы(1) и (3), а также теоремы (2) и (4)являются взаимно противоположными теоремами.
Например, для теоремы «Если в четырехугольнике диагонали равны, то четырехугольник является прямоугольником» (1) обратной является теорема «Если четырехугольник является прямоугольником, то его диагонали равны» (2). Для теоремы (1) противоположной является теорема «Если в четырехугольнике диагонали не равны, то четырехугольник не является прямоугольником» (3), а для теоремы (2) противоположной является теорема «Если четырехугольник не является прямоугольником, то его диагонали не равны» (4).
В рассмотренном примере теоремы (1) и (4) являются одновременно ложными, а теоремы (2) и (3) одновременно истинными. Контрпримером к теореме (1) является равнобокая трапеция.
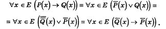
Ясно, что прямая и обратная теоремы, вообще говоря, не равносильны, то есть одна из них может быть истинной, а другая ложной. Однако легко показать, что теоремы (1) и (4), а также теоремы (2) и (3) всегда равносильны. Действительно,

Аналогично доказывается равносильность

Из этих равносильностей следует, что, если доказана теорема(1), то доказана и теорема (4), а если доказана теорема (2), то доказана и теорема(3).






