Рассмотрим автономную задачу оптимального управления с незакрепленным временем:
(1),
,
(2)
требуется минимизировать функционал
путем выбора вектора допустимого управления
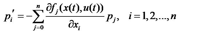
. Для эффективного и сжатого формулирования необходимых условий оптимальности вектора параметров управления, рассмотрим сопряженную систему линейных дифференциальных уравнений первого порядка для дополнительных переменных
(3)
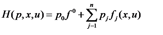
и функция Гамильтона-Понтрягина задачи оптимального управления
. Вектор
- вектор сопряженных переменных. Необходимое условие оптимальности, известное как принцип максимума Понтрягина формулируются так:
Теорема 1. Чтобы вектор параметров управления
и соответствующая траектория
, описываемая формулами (1) и (2), были оптимальными, необходимо, чтобы существовало решение
сопряженной системы (3) и константа
такие, что
и
(4) для всех векторов
в каждой точке
оптимальной траектории
, где
- вектор параметров управления.
Замечание: Фраза «в каждой точке» подразумевает, что если
кусочно-непрерывная, то условие (4) справедливо в точках непрерывности
; если
ограничена и измерима, то (4) справедливо почти всюду.
Рассмотрим пример 1 из Л. 14. Сопряженная система будет иметь вид:
. Решение её
. Гамильтониан системы:
. Т.к.
, то из принципа максимума Понтрягина следует
, если
и
, если
. Как видно из предыдущего примера, переменную
можно исключить из задач об оптимальном быстродействии. Заменим (4) условием: существует невырожденное решение
.
, что при
неравенство
(5) имеет место
в каждой точке оптимальной траектории
.
Для неавтономных задач с закрепленным временем непосредственно из принципа максимума следует, что должно существовать
- решение системы (3), что для некоторой константы
,
,
при
в каждой точке оптимальной траектории
. (
появляется благодаря введению новой переменной состояния
).
Рассмотрим пример 2 из Л. 14. Получаем
и значит
. Таким образом,
, где
. Данная функция достигает максимума при
. При
,
,
получаем следующую траекторию
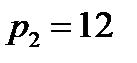
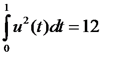
. Функционал
.






