Задача линейного быстродействия

В линейных задачах Теории оптимального уравнения дифференциальное уравнение принимает вид (*), где A(t) – где квадратная матрица , B(t) – матрица , W(t) – вектор , а функции непрерывна по t. К уравнению (*) можно перейти непосредственно моделируя реальный динамический объект, а также в результате линеаризации дифференциальных уравнений его движения, когда исходная модель не линейна.

Линейную задачу теории оптимального уравнения называют задачей линейного быстродействия, если

1) уравнение (*) однородно, т.е. W(t)=0, а A и B – постоянные;

2) минимизируемый функционал имеет форму Лагранжа при ;

3) начальный момент фиксирован;

4) конечный момент не фиксирован;

5) левый и правый концы траектории закреплены, т.е. , ;

6) фазовые ограничения отсутствуют, ;

7) область изменения управляющих параметров имеет вид:

, ограничена, содержит в себе точку O, которая не является для нее угловой; U – выпуклый ограниченный многогранник.

Опр.1 Подпространство называется инвариантным относительно линейного преобразования , если Оно называется собственным, если не совпадает со всем .

Замечание: принадлежит инвариантному подпространству относительно линейного преобразования A в том и только том случае, если - линейно зависимы.

Опр.2 В задаче линейного быстродействия выполнено условие общности положения, если для любого вектора w, параллельно какому-либо ребру U, вектор Bw не принадлежит никакому собственному инвариантному подпространству относительно линейного преобразования A, т.е. линейно независимы.

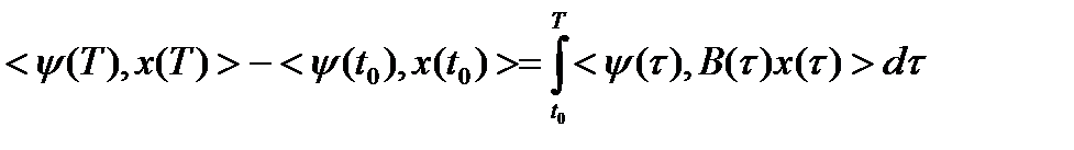
Для задачи линейного быстродействия дифференциальное уравнение движения имеет вид (1), минимизируемый функционал , функция Гамильтона-Понтрягина при . (2) и система сопряженных уравнений (3).

Лемма1. Пусть уравнение на - порожденное им движение и - решение сопряженного уравнения (3). Тогда (4)

Лемма2. Пусть - нетривиальное решение уравнения (3). Для того, чтобы вектор принадлежал собственному инвариантному относительно преобразования A подпространству, достаточно выполнения равенства при некотором .





Подборка статей по вашей теме: