Сформулируем принцип оптимальности для динамических задач, представляющихся классическими задачами вариационного исчисления с ограничениями типа равенств и неравенств.
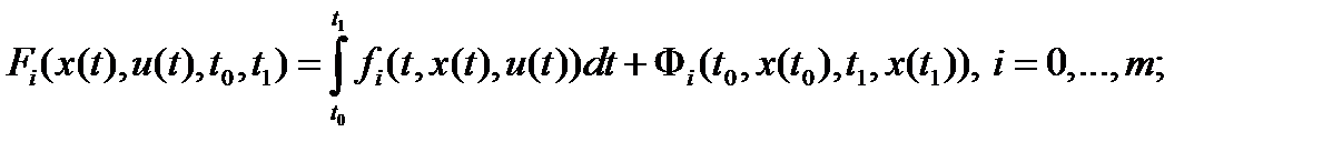
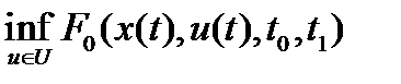
Пусть требуется найти
(0) при ограничениях вида:
(1),
(2)
(3) в пространстве
, где
- пространство непрерывных функций;
- пространство дифференцируемых функций,
- заданный конечный отрезок,
;
- функция
переменных;
- функция
переменных;
- функция
переменных;
- вектор-функция управления;
- вектор-функция фазовой переменной;
- управляющий процесс в задаче Лагранжа, если
,
,
и всюду на
выполнится дифференциальная связь, задаваемая (1); если же при этом выполняются ограничения
(2), (3), то четверка
- допустимый управляющий процесс.
Теорема Эйлера- Лагранжа Пусть
- оптимальный (в слабом смысле) процесс и при этом функции
и их частные производные по
и
непрерывны в некоторой окрестности множества
, а
, непрерывно дифференцируемы в окрестности точки
. Тогда найдутся множители Лагранжа и
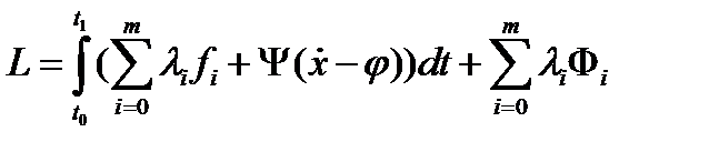
не равные одновременно нулю и такие, что для функции Лагранжа
выполнены условия: а) стационарности по
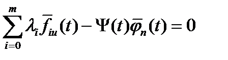
,
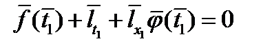
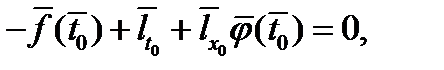
; б) трансверсальности по
,
,
,
;
|
|
|
в) стационарности по
,
; г) стационарности по
(для незакрепленных
и
),
; д) не отрицательности (только при наличии ограничений неравенств)
; е) дополняющей нежесткости (только при наличии ограничений неравенств)

Замечание. 1)допустимый управляемый процесс
называется оптимальным (в слабом смысле) процессом, или слабым минимумом в задаче (0), если существует такое
, что для любого допустимого управляемого процесса
, удовлетворяющего условию
, выполнено неравенство
.
2)
- арифметическое n-мерное пространство, сопряженное к
,
- терминант.
30. Необходимые условия в задаче теории оптимального управления
В случае выбора решений в динамических задачах оптимального управления в пространстве
, когда
, т.е. в задачах вида
,
,
,

где 
(
- пространство кусочно-непрерывных функций;
- пространство кусочно-дифференцируемых функций;
- произвольное множество из
;
- раскрываются такие, как в задаче Лагранжа п.15.2), принцип оптимальности формируется как принцип максимума Понтрягина.
Теорема 1 (Необходимое условие экстремума) Пусть
- оптимальный процесс в задаче оптимального управления, функции
и их частные производные по
непрерывности во множестве
, где
- некоторая окрестность множества
, а
непрерывно дифференцируемы в окрестности точки
. Тогда найдутся множители Лагранжа
, не равные одновременно нулю и такие, что для функции Лагранжа
выполнены условия:
а) стационарности по
- уравнения Эйлера,
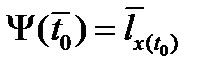
, б) трансверсальности по
,
,
,для терминантов на
и
; в) оптимальности по
; г) стационарности по
(только для незакрепленных
,
)
; д) дополняющей нежесткости (при наличии ограничений неравенств)
; е) неотрицательности (при наличии ограничений неравенств)
.
|
|
|
Здесь
- арифметическое n-мерное пространство, сопряженное к
,
- терминант.
31. Принцип максимума Понтрягина для простейшей задачи оптимального управления
Задачу теории оптимального управления назовем простейшей, если для нее начальный и конечный моменты времени фиксированы, левый конец закреплен, правый – свободен, фазовые ограничения отсутствуют, а ограничение на вектора управляющих параметров стационарны, т. е. Из (1)-(4) (п. 14.1) получаем следующую краткую запись для простейшей задачи оптимального управления:
дано:
,
(1)
- непрерывно дифференцируема по совокупности своих параметров. Пусть
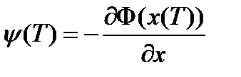
- оптимальное управление и оптимальная траектория в задаче (1). Если
- вектор сопряженных переменных, то т. к. Сопряженная система дифференцируемых уравнений, отвечающая паре
имеет вид
, то если
решение сопряженной системы дифференциальных уравнений, отвечающей этой паре при граничных условиях
и
, (2) то
.
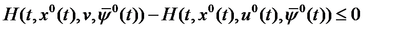
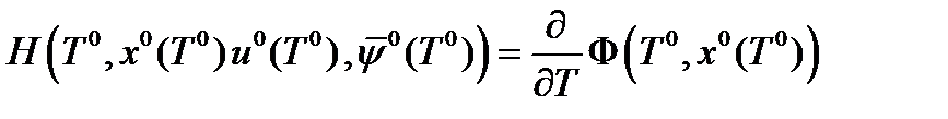
Теорема 1. (Принцип максимума Понтрягина ) В любой момент времени
имеет место равенство
. (
)
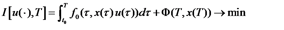
Практическое применение задачи Т.1 осуществляется следующим образом для поиска решения задачи управления. Выражение для
, в котором полагают
, рассматривается как функция
переменных
, а остальные переменные при этом считаются параметрами. Для каждого фиксированного набора
решается задача математического программирования
. Решением ее будет
. Таким образом
. В ряде случаев функцию
можно выписать в явном виде. Если
построена, то можно рассмотреть следующую систему из
дифференциальных уравнений относительно
:
, (3), где
. Для определения
произвольных постоянных имеется
граничных условий на левом конце:
-, и на правом:
. (4)
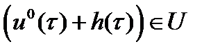
Опр.1 Пара
удовлетворяет условиям принципа максимума, если
, а
- решение системы (3) при граничных условиях (4) и
.
Пары, удовлетворяющие условиям принципа максимума назовем стационарными.
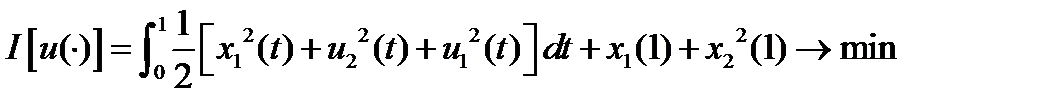
Рассмотрим пример применения принципа максимума Понтрягина при решении простейшей задачи теории оптимального управления:
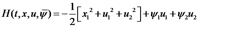
Пример1 

Функция Гамильтона-Понтрягина (с учетом
) имеет вид:
. Вектор-функция
из условия
.
Основная и сопряженная система дифференциальных уравнений:

.
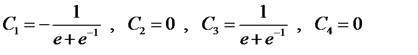
Интегрируя их совместно, получаем:

(5)
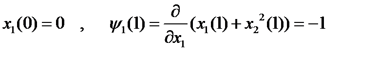
Из граничных условий: 
, которые в силу (5) принимают вид:
, откуда
, 

Для доказательства теоремы 1 дополнительно положим, что
и
непрерывно дифференцируемы по
и
константа
, для которой
справедливы неравенства:
,
, (6)
.
Пусть
- кусочно-непрерывная функция, для которой:
. Полагаем
.
Сформулируем ряд утверждений, которые используются в доказательстве Т.1.
Лемма 1. Имеет место равенство:
, (7), где
(8),
.
Лемма 2. Имеет место равенство:

, (9), где
.
Лемма 3. Справедлива оценка:
.
Пусть
,
, и
столь мало, что
.
Функцию
определим формулой:
(10)
Очевидно, что
кусочно-непрерывная функция и для всех
выполнено включение
. Таким образом, для управления
и движения
в соответствии с леммой 1 справедлива оценка (7), (8), которая в силу (10) имеет вид:
(11), где 
(12)
При достаточно малых
функция
непрерывна на
, поэтому
,
(13)
Из оптимальности пары
следует неравенство
. Тогда в силу (11) - (13) заключаем:
(14)
Поделив обе части неравенства (14) на положительное
и устремив
к нулю получаем
. Из определения
выводим:
(15)
В силу произвольности
из неравенства (15) следует справедливость условия (2) для всех
. Чтобы доказать его для
надо взять
в виде:

и провести аналогичные рассуждения. Теорема 1 доказана.
Рассмотрим случай простейшей задачи с нефиксированной продолжительностью процесса:
,

Если рассмотреть вспомогательную задачу с фиксированной продолжительностью процесса, то если
- решение основной задачи, то
будет решением вспомогательной задачи при условии
. Но по Т.1 для пары
будет выполняться условие принципа максимума Понтрягина при
. Однако условий принципа максимума недостаточно для выделения изолированных пар
, среди которых только и могло бы находиться решение исходной задачи с нефиксированной длительностью процесса. Это объясняется тем, что помимо (2) и произвольных констант интегрирования в общем решении системы дифференциальных уравнений (3) определению подлежит еще и момент
. Дополнительные условия, которым удовлетворяет
определяются следующей теоремой.
|
|
|
Теорема 2. Пусть
- оптимальный конечный момент времени в простейшей задаче оптимального управления с нефиксированной длительностью процесса. Тогда
.