Теорема1 (достаточное условие оптимальности). Пусть в задаче линейного быстродействия выполнены условия общности положения, и пара
удовлетворяет условиям принципа максимума при
Тогда
- минимально возможное время перевода фазового вектора из начального положения
в начало координат,
- оптимальное управление,
- оптимальная траектория.
Доказательство. От противного приходим к существованию управления
,
, приводящего фазовый вектор из
в
в начало координат в 
Пусть
(5)
Тогда
(6)
Из принципа максимума следует
(7).
Из (6)
(8)
Из леммы 1 и (8): 
(9)
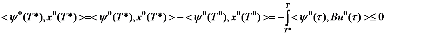
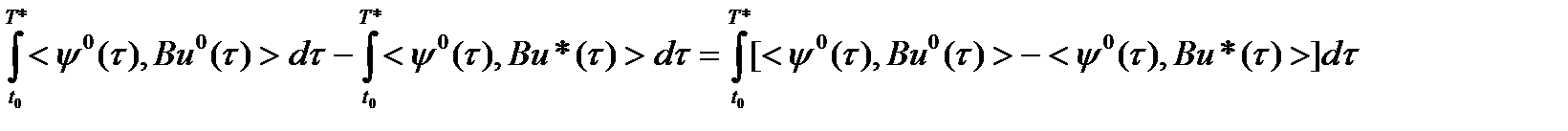
Из (7) и (9)
(10) С другой стороны т.к.
, то справедливо неравенство
(11)
и поэтому
(12) Из (10) и (12)
=0. Но из (12)
а из (11)
Обозначим
грань наименьшей размерности многоугольника U, которая содержит начало координат.
либо совпадает с U, либо является гранью U, но во всяком случая, размерность
не меньше 1, т.к. начало координат не вершина U, а внутренняя для
.
линейная функция
, определяемая формулой
,
, достигает максимального значения 0 во внутренней точке
(начале координат), и поэтому постоянна на
В частности, если
- концы какого либо ребра грани
, то
Следовательно, для вектора
направленному по ребру многогранника U,
Из леммы 2 следует, что вектор Bu принадлежит собственному инвариантному относительно преобразования A подпространству, а это противоречит условию общности положения. Итак, предположение
приводит к противоречию.
Теорема 2 позволяет выяснит структуру оптимального управления в задаче линейного быстродействия.
Теорема2 (о числе переключений). Пусть в задаче линейного быстродействия включено условие общности положения. Тогда для любого нетривиального решения
сопряженной системы дифференциальных уравнений (3) на промежутке
функция
, найденная из условия
, (13)
кусочно-постоянная и ее значения являются вершинами U.
Замечание. Из теоремы 2 следует, что число переключений конечно, но произвольно. При дополнительных предположениях число переключений допускает точную оценку.
Теорема3 (А.А. Фельдбаума). Пусть в задаче линейного быстродействия множество
и все собственные значения матрицы A действительны. Тогда для всякого нетривиального решения
сопряженной системы дифференциальных уравнений (3) каждая компонента
вектор-функции
, найденная из условия (13), кусочно-постоянная; принимает только значения
и имеет не более n-1 переключений, где n-размерность фазового вектора.






