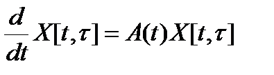
Рассмотрим однородное к уравнению (*) п.17.1 уравнение
,
(1).
Пусть
система линейно независимых векторов-решений уравнения (1). Тогда матрица
является неособой на
и имеет обратную
Матрицу
назовем фундаментальной матрицей Коши. Отметим ряд ее свойств:
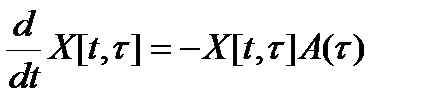
1)
2)
3)
, т.е. столбцы являются линейной комбинацией столбцов Z(t) и являются решением для (1); 4) 
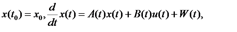
Пусть
- некоторое уравнение и
отвечающее ему движение линейного управляемого фундаментального объекта ((*)п.17.1).
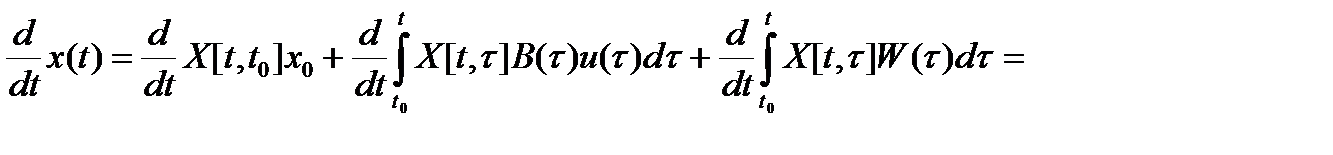
Теорема1 (Формула Коши). Справедливо равенство
(2)
Доказательство. Надо доказать два равенства:
.
Первое следует непосредственно из свойства 1) фундаментальной матрицы Коши, а второе доказывается путем непосредственного дифференцирования правой части равенства (2) по аргументу t:


.






