Рассмотрим управляемую систему, движение которой описывается уравнением (*) п.17.1. Требуется перевести систему за время
из состояния
в
так, чтобы в
выполнялось x(t)=x(T) и имел место расход усилий на управление в количестве
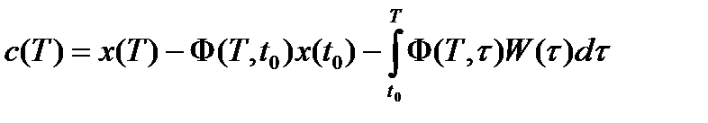
. Решение неоднозначного уравнения может быть записано как сумма общего решения однородного и частного неоднородного. Оно может быть записано в виде:
и при t=T
, или
где
,
- фундаментальная матрица Коши. Исходная задача уравнения системой свелась к изопериметрической задаче вариационного исчисления: Найти вектор-функцию
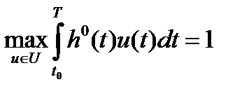
обеспечивающую
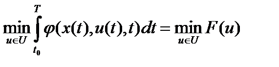
при ограничениях
Принцип относительности ее решения формулируется теоремой:
Теорема1 (Крейна). В пространстве U существует линейный функционал F(u), для которого выполняется условие
и который имеет минимальную норму
при условии
для любых компонент вектора
.
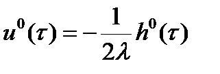
Доказано, что если в качестве критериального функционала принимается величина
то оптимальная операция, выражающейся минимальной функцией
удовлетворяет условию
и тогда
, где
- множитель Лагранжа,
- вектор-столбец.
|
|
|
Замечание. Математическое содержание задачи представляет собой известную проблему моментов.






