В таких осциллографах используется обычная трубка. Полоса пропускания получается за счет строб эффекта (импульса малой длительности).
Принцип работы.
В схеме формируются очень короткие стробирующие импульсы, которые вырезают в исследуемом процессе точки. Стробирующие точки медленно перемещаются и пробегают весь исследуемый процесс.

Изображение состоит из отдельных точек, но последовательность входного сигнала медленнее, то есть частота снизилась.

Осциллографирование только периодических импульсов.
Для осуществления стробоскопического осциллографирования необходимо:
1. Иметь генератор узких строб импульсов. Частота, которых равна или в целое число раз меньше частоты повторения сигнала.
2. Создать автоматический сдвиг строб импульсов.
3. Необходимо иметь преобразователь модулятор, который осуществляет временную дискретизацию исследуемого процесса.
4. Необходимо синхронизировать развертки с исследуемым процессом.
5. Начало развертки синхронизировать с первым стробирующим импульсом.


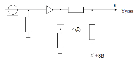
Самым высокочастотным блоком является преобразователь.

Диод закрыт и открывается только при поступление строб импульсов. Величина тока при постоянной амплитуде определяется сигналом. Конденсатор быстро заряжается, а затем медленно разряжается в нагрузке, то есть формируется длительный импульс, амплитуда которого определяется входным сигналом. С7 – 11 полоса от 0 до 5ГГц, длительность развертки до 0.5 н/с на деление, чувствительность 0.2 деления на мВ.
Измерение фазового сдвига и временных интервалов.
Такие измерения необходимы в радио локации, телеметрии, вычислительной техники и ядерной физики.
И2 – измеритель временных интервалов.
Ф2 – измерители фазового сдвига
Ф3 –фазовращатели измеритель
Ф4 – измеритель группового времени запаздывания.
Будем считать, что временной интервал задан двумя импульсами.

Методы измерений.
1) Осциллографические методы.
При линейной развертке вводят генератор меток и путем подсчета меток определяют временной интервал.

2) При кольцевой или спиральной развертки.


Обладают повышенной точностью, так как синхронизацию можно осуществить от кварцевого генератора.
Цифровые методы преобразования временного интервала.
1. Классический метод.


Недостаток: большие погрешности измерения, что бы уменьшить погрешность применяют схему интерполяции.

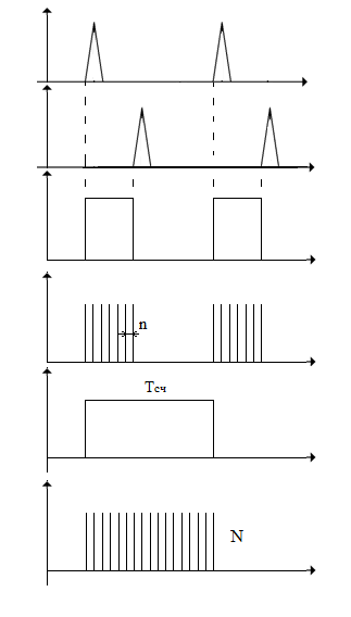
ГНП – генератор пилообразного напряжения
& - вентиль
ГИ – генератор импульсов
Временные зависимости.


Основная цель схемы вычислить интервалы ∆t1 и ∆t2 для этого вводятся схемы расширения интервалов. Формируются импульсы ∆t1 и ∆t2, которые превращаются в пилообразное напряжение. Амплитуда пила определяется длительностью импульса, разряд конденсатора идет в 1000 раз медленнее чем заряд. Фиксируется момент прохождения через 0 и определяется уже укрупненный в 1000 раз интервал.



За счет введения схемы интерполяции точность увеличивается в 1000 раз, но проигрываем во времени измерения.
Измерения фазового сдвига.
Фазовый сдвиг представляет собой модуль разности начальных фаз двух гармоник колебаний одинаковой частоты.
Методы измерения.
1) Метод преобразования фазового сдвига
2) Преобразование фазы в напряжение
3) Метод эллипса
4) Нулевые методы
Метод преобразования фазы в интервал времени.


Короткие импульсы формируются с помощью нуль-органа с учетом знака производной.
Преобразователь фазы в ток


Точность измерения 1-3%
Преобразователь фазы в напряжение


1. Измерить период синусоиды с помощью счетных импульсов.
2. Измерить расстояние между импульсами с помощью тех же счетных импульсов.


Тогда 
Недостаток: очень высокая частота счетных импульсов, поэтому применяют либо интерполяцию, либо гетеродинные методы преобразования частоты.
Гетеродинные метод.

УРЧ – усилитель резонансной частоты.
Такая приставка служит так же для расширения частотного диапазона фазометров.
Недостаток всех этих методов, они косвенные, то есть необходимо продолжать вычисления фазометра. Наиболее распространены прямопоказывающие фазометры, показания которых не зависят от частоты.
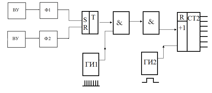
Прямопоказывающие фазометры.

Состоят из двух частей.
1. Преобразователь, содержащий два канала формирования и триггера.
2. Цифровой измеритель.
Принцип работы.
Напряжение подводится к Ф1 и Ф2 на выходе получаются импульсы соответственно определенной фазе сигнала. Они управляют триггером, сигнал которого подается на вход первого вентиля, на другой вход которого подается счетные импульсы, с ГИ1, ГИ2 выдает длинные импульсы причем Тизм >> Tн (Tн – самый нижний период измеряемых частот)


k – число периодов попадающих в интервал измерения.


Общее число подсчитанных импульсов равно.

L – постоянный для данного прибора коэффициент, как правило его выбирают кратным 10, поэтому прибор прямопоказывающий 






