Вопросы, изложенные в лекции:
1. Определение, классификация ЧП.
2. Геометрия, кинематика и динамика ЧП.
3. Материалы и изготовление ЧП.
| Определение и классификация ЧП. |
В предыдущих лекциях рассмотрены конструкция и параметры зубчатых передач с зацеплениями некоторых типов. В этих передачах в качестве подвижных звеньев фигурируют зубчатые колеса, сидящие на вращающихся валах. Кроме подобных зубчатых передач в технике получили широкое распространение передачи, имеющие зубчато-винтовое зацепление – червячные передачи (механизмы натяжения гусениц БМП и танков, привод лебёдки БТР-80, главные передачи некоторых тяжелых грузовых автомобилей).
Червячная передача – это передача, два подвижных звена которой, червяк и червячное колесо, образуют совместно высшую зубчато-винтовую кинематическую пару, а с третьим, неподвижным звеном, низшие вращательные кинематические пары.
Рис. 6.1. Червячная передача: 1 –червяк; 2 –червячное колесо. |
Как следует из определения, червячная передача обладает свойствами как зубчатой (червячное колесо на своем ободе несет зубчатый венец), так и винтовой (червяк имеет форму винта) передач. Червячная передача, также как и винтовая, характеризуется относительно высокими скоростями скольжения витков червяка по зубьям червячного колеса.
Достоинства червячных передач: 1) компактность и относительно небольшая масса конструкции; 2) возможность получения больших передаточных чисел в одной ступени – стандартные передачи u £ 80, специальные - u ³ 300; 3) высокая плавность и кинематическая точность; 4) низкий уровень шума и вибраций; 5) самоторможение при обратной передаче движения, то есть невозможность передачи движения в обратном направлении - от ведомого червячного колеса к ведущему червяку.
Недостатки червячных передач обусловлены большими скоростями скольжения витков червяка по зубьям червячного колеса, а также значительными осевыми силами, действующими на валах передачи.
Недостатки червячных передач: 1) Низкий КПД и высокое тепловыделение; 2) повышенный износ и уменьшенный срок службы; 3) склонность к заеданию, что вызывает необходимость применения специальных антифрикционных материалов для изготовления зубчатого венца червяч-ного колеса и специальных видов смазки с антизадирными присадками.
Классификация червячных передач:
1. по направлению линии витка червяка –
1.1. правые (при наблюдении с торца червяка и его вращении по часовой стрелке червяк вкручивается в пространство - уходит от наблюдателя);
1.2. левые (при наблюдении с торца червяка и его вращении по часовой стрелке червяк выкручивается из пространства - идёт на наблюдателя);
2. по числу заходов червяка –
2.1. с однозаходным червяком, имеющим один гребень, расположенный по винтовой линии, наложенной на делительный цилиндр червяка;
2.2. с двух-, трёх-, четырёх-, многозаходным червяком, имеющим соответственно 2, 3, 4 или более одинаковых гребней расположенных по винтовой линии, наложенной на делительный цилиндр червяка;
3. по форме делительной поверхности червяка –
3.1. с цилиндрическим червяком (образующая делительной поверхности – прямая линия);
3.2. с глобоидным червяком (образующая делительной поверхности – дуга окружности, совпадающая с окружностью делительной поверхности червячного колеса);
4. по положению червяка относительно червячного колеса –
4.1. с нижним расположением червяка;
4.2. с верхним расположением червяка;
4.3. с боковым расположением червяка;
5. по пространственному положению вала червячного колеса –
5.1. с горизонтальным валом червячного колеса;
Рис. 6.2. Установка резца при нарезании архимедовых (1), конволютных (2) и эвольвентных (3) червяков. |
5.2. с вертикальным валом червячного колеса;
6. по форме боковой (рабочей) поверхности витка червяка (рис. 6.2) –
6.1. с архимедовым червяком, боковая поверхность его витков очерчена прямой линией в продольно-диаметральном сечении (обозначается ZA);
6.2. с конволютным червяком, боковая поверхность его витков очерчена прямой линией в нормальном к направлению витков сечении (обозначается ZN);
6.3. с эвольвентным червяком, боковая поверхность его витков в продольно-диаметральном сечении очерчена эвольвентой (обозначается ZI).
Эвольвентный червяк эквивалентен цилиндрическому эвольвентному косозубому колесу с числом зубьев, равным числу заходов червяка.
Форма боковой поверхности червяка мало влияет на работоспособность червячной передачи и, в основном, связана с выбранной технологией изготовления червяка (рис. 6.2).
| Геометрия, кинематика и динамика ЧП. |
Рис. 6.3. Размеры цилиндрического червяка |
Геометрию, кинематику и динамику червячной передачи рассмотрим на примере передачи с архимедовым червяком.
Геометрические характеристики червячной передачи связаны между собой соотношениями, во многом аналогичными соотношениям зубчатых передач.
Основным стандартизованным параметром червячной передачи является модуль m (измеряется в мм), осевой для червяка и окружной (торцовый) для червячного колеса. Поскольку делительный диаметр червяка невозможно связать с числом его заходов z1 (витки червяка нарезаются вдоль его оси, а не по окружности, как у зубчатого колеса), для определения делительного диаметра червяка вводится специальный коэффициент диаметра червяка q, показывающий число модулей, укладывающихся в делительный диаметр.
Свои особенности имеет и геометрия венца червячного колеса. В виду того, что образующая делительной поверхности венца червячного колеса (рис. 6.4) имеет дугообразную форму и, следовательно, в разных точках разное удаление от оси вращения колеса, все основные размерные показатели (делительный диаметр, высота зуба и др.) измеряются в серединной плоскости, проходящей через геометрическую ось червяка.
Учитывая изложенное, модуль с делительными диаметрами червяка (рис. 6.3) и червячного колеса (рис. 6.4) связан соотношениями
. (6.1)
Расстояние, измеренное между одноименными поверхностями двух соседних гребней нарезки червяка, называют расчетным шагом нарезки червяка. Расчетный шаг нарезки червяка (размер р на рис. 6.3) связан с модулем червячного зацепления соотношением, аналогичным таковому для зубчатого зацепления:
. (6.2)
Расстояние, измеренное между одноименными поверхностями двух соседних гребней, принадлежащих общей винтовой линии нарезки червяка, называют ходом витка червяка. Из определения следует, что расчетный шаг p и ход витка pz связаны соотношением
Рис. 6.4. Параметры венца червячного колеса |
. (6.3)
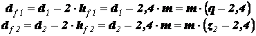
Высота головок витков червяка и зубьев червячного колеса также как и в зубчатом зацеплении равна модулю зацепления (ha1 = ha2 = m), а высота ножек с целью исключения возможности утыкания головки зуба в дно впадины, как и в конических передачах, на 20% больше модуля зацепления (hf1 = hf2 = 1,2m). Тогда диаметр вершин витков (внешний диаметр) червяка da1 (рис. 6.3) и диаметр вершин зубьев червячного колеса da2 (рис. 6.4) могут быть найдены по выражениям
; (6.4)
а диаметр впадин витков (внутренний диаметр) червяка df1 (рис. 6.3) и диаметр впадин зубьев червячного колеса df2 (рис. 6.4) - по выражениям
. (6.5)
Измеренный в плоскости осевого сечения угол a между касательной к боковой поверхности витков червяка и нормалью к оси его вращения для архимедовых червяков является величиной постоянной, стандартизован и равен 20°. Следовательно, угол между двумя касательными к противоположным боковым поверхностям одного витка (угол заострения гребня) составляет 2a или 40°.
Длина нарезанной части червяка b1 (рис. 6.3) зависит от числа его заходов и выбирается по эмпирической формуле
при числе витков червяка z1 = 1 и z1 = 2
; (6.6)
а при числе витков червяка z1 = 4 [3]
. (6.7)
Отношение хода витка к длине делительной окружности червяка – есть величина тангенса угла подъёма g винтовой линии нарезки червяка
(6.8)
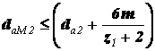
Особенностью червячного колеса (рис. 6.4) является то, что диаметр вершин зубьев da2 не самый большой его диаметр. Максимальный диаметр червячного колеса daM2 устанавливается в некоторой степени произвольно. Увеличение этого диаметра способствует увеличению площади контактной поверхности зубьев колеса, а следовательно, и снижению контактных напряжений на этой поверхности, возникающих в процессе работы передачи. Однако чрезмерное его возрастание приводит к заострению периферийных участков зуба и исключению их из передачи рабочих нагрузок вследствие повышенной гибкости. Поэтому максимальный диаметр зубьев червячного колеса daM2 имеет ограничение сверху по соотношению
. (6.9)
Ширину зубчатого венца червячного колеса b2 выбирают по стандартному ряду размеров. При этом размер b2 должен удовлетворять соотношению
при числе витков червяка z1 = 1 и z1 = 2
; (6.10)
а при числе витков червяка z1 = 4
. (6.11)
При прочностных расчетах червячной передачи возникает потребность в знании условного угла 2 d охвата витков червяка зубьями червячного колеса (рис. 6.4). Этот угол определяют по точкам пересечения боковых (торцовых) поверхностей червячного колеса с условной окружностью, диаметр которой равен
, следовательно
. (6.12)
Межосевое расстояние для несмещенной червячной передачи определяется по формуле
. (6.13)
Рис. 6.5. Схема скоростей в червячной передаче |
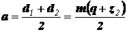
В червячной передаче, в отличие от зубчатой, окружные скорости витков червяка v1 и зубьев червячного колеса v2 (рис. 6.5) различны как по величине, так и по направлению. Витки червяка при его вращении получают скорость v1, направленную по касательной к его начальной окружности, а зубья червячного колеса движутся совместно с винтовой линией параллельно оси червяка со скоростью v2. За один оборот червяка червячное колесо повернется на угол, охватывающий число зубьев колеса, равное числу заходов червяка. Эти простые наблюдения позволяют записать следующую зависимость для вычисления передаточного числа червячной передачи
. (6.14)
Геометрическая сумма скоростей v1 и v2 равна скорости относительного движения витков червяка по отношению к зубьям колеса. План скоростей, построенный для зацепления, позволяет записать следующие зависимости
. (6.15)
Таким образом, скорость скольжения витков червяка по зубьям червячного колеса является наибольшей по сравнению с тангенциальными скоростями движения витков червяка и зубьев червячного колеса.
Коэффициент полезного действия hз червячного зацепления можно вычислить как КПД винтовой кинематической пары:
при ведущем червяке
; (6.16)
а при ведущем червячном колесе
; (6.17)
где
- угол трения в червячной кинематической паре, а f коэффициент трения для материалов витков червяка и зубчатого венца червячного колеса.
При g £ rhзо = 0 передача движения от червячного колеса к червяку становится невозможной – происходит самоторможение. Свойство самоторможения обратного движения широко используется в лебёдках и грузоподъёмных механизмах. Однако необходимо отметить, что у таких самотормозящихся механизмов и в прямом направлении передачи движения КПД невелик.
Рис. 6.6. Силы в червячной передаче |
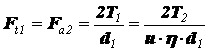
В червячной передаче сила Fn, действующая со стороны червяка, воспринимается, как правило, не одним, а несколькими зубьями. Однако, также как и в зубчатых передачах, при выполнении расчетов эту силу принято располагать в полюсе зацепления (рис. 6.6, а). Эту силу не трудно разложить по правилу параллелограмма на три взаимно перпендикулярных составляющих Ft1, Fr1 и Fa1. Далее, согласно третьему закону Ньютона устанавливаем, что (рис. 6.6, б) Ft2 = Fa1, Fa2 = Ft1 и Fr2 = Fr1.
Тангенциальные силы на червяке и червячном колесе наиболее удобно вычислить через вращающие моменты на соответствующих валах, тогда
(6.18)
и
. (6.19)
Радиальные силы на червяке и колесе
. (6.20)
| Материалы и изготовление ЧП. |
Витки червяка и зубчатый венец червячного колеса должны обладать достаточной прочностью и составлять антифрикционную пару, обладающую высокой износостойкостью и сопротивляемостью заеданию в условиях больших скоростей скольжения при значительных нормальных силах между контактирующими поверхностями.
Для изготовления червяков применяют все три типа сталей, распространенных в машиностроении:
1. Качественные среднеуглеродистые стали марок 40, 45, 50. Из них изготавливают малоответственные червяки. Заготовку перед механической обработкой подвергают улучшающей термической обработке (HRCэ £ 36). Червяк точат на токарном станке с последующей ручной или механической шлифовкой и полировкой рабочих поверхностей витков.
2. Среднеуглеродистые легированные стали марок 40Х, 45Х, 40ХН, 40ХНМА, 35ХГСА. Из этих сталей изготавливают червяки ответственных передач. Улучшающей термообработке (HRCэ £ 45) подвергают деталь после предварительной обработки на токарном станке. После термообработки рабочие поверхности витков шлифуют на специальных червячно-шлифовальных станках или на токарном станке с применением специальной шлифовальной головки.
3. Мало- и среднеуглеродистые легированные стали марок 20Х, 12ХН3А, 25ХГТ, 38ХМЮА. Из этих сталей изготавливают червяки высоконагруженных передач, работающие в реверсивном режиме. Деталь, изготовленная с минимальным припуском под окончательную обработку, подвергается поверхностной химико-термической обработке (цементация, азотирование и т.п.) глубиной до 0,8 мм, после чего закаливается до высокой поверхностной твердости (HRCэ 55…65). Рабочая поверхность витков червяка шлифуется и полируется (иногда шевингуется).
Зубчатые венцы червячных колёс изготавливают чаще всего литьём из бронзы или чугуна.
Чугунный венец (серые чугуны СЧ15, СЧ20 или ковкие чугуны КЧ15, КЧ20) может отливаться за одно целое с ободом червячного колеса при отливке последнего. Такие колеса применяются, как правило, в низкоскоростных открытых и закрытых передачах (vs £ 2 м/с).
При средних скоростях скольжения (2 < vs £ 5 м/с) для изготовления зубчатых венцов червячных колес применяются безоловянистые бронзы и латуни. Чаще всего для этой цели используются железоалюминиевые литейные бронзы (Бр А9Ж3Л, Бр А10Ж4Н4Л). Эти бронзы имеют высокую механическую прочность, но обладает пониженными антизадирными свойствами, поэтому её применяют в паре с червяками, имеющими шлифованную и полированную рабочую поверхность витков высокой твердости (HRC ³ 45).
В передачах с высокой скоростью скольжения (5 < vs £ 25 м/с) зубчатые венцы червячных колёс изготавливают из оловянистых бронз (Бр О10Ф1, Бр О10Н1Ф1). Эти бронзы обладают пониженной прочностью по сравнению с безоловянистыми, но обладают хорошими антизадирными свойствами.
Бронзовые венцы червячных колёс обычно изготавливают отливкой в землю, в кокиль (металлическую форму) или центробежным литьём. При этом отливки, полученные центробежным литьём, имеют наилучшие прочностные характеристики.
Заготовка для зубчатого венца может быть отлита непосредственно на ободе червячного колеса, либо отливаться в виде отдельной детали, тогда венец выполняется насадным с закреплением его как от возможности проворота, так и от продольного смещения.
С целью выбора материала для изготовления зубчатого венца червячного колеса предварительно ожидаемую скорость скольжения vs можно определить по эмпирическому выражению
, (6.21)
где vs – скорость скольжения, м/с; n1 – частота вращения червяка,
мин-1; T2 – вращающий момент на червячном колесе, Н×м.
В настоящей лекции изложены начальные сведения по конструкции, кинематике и динамике червячных передач, представлены основные материалы, используемые для изготовления червяков и зубчатых венцов червячных колес, а также некоторые технологические сведения по их изготовлению. Вопросы, связанные с проектным и проверочным расчетом червячных передач будут рассмотрены в дальнейшем.
| Вопросы для самоконтроля: |
1. Назовите основные признаки червячной передачи.
2. Почему червячные передачи называют зубчато-винтовыми.
3. Назовите достоинства червячных передач.
4. Назовите недостатки червячных передач, чем они обусловлены?
5. Назовите основные классификационные признаки червячных передач.
6. В чём различия между эвольвентным, конволютным и архимедовым червяками?
7. Чем является модуль в червячной передаче и как он связан с начальным (делительным) диаметром червяка?
8. Какие размеры червяка называют шагом нарезки и ходом витка, у каких червяков, по вашему мнению, эти два размера совпадают?
9. Выразите высоту витков червяка и зубьев червячного колеса через модуль червячной передачи.
10. Покажите связь диаметров впадин и диаметров выступов витков червяка и зубьев червячного колеса.
11. Как определить угол подъёма винтовой линии витков червяка?
12. Как назначаются максимальный диаметр и ширина зубчатого венца червячного колеса?
13. Что называют условным углом охвата витков червяка зубьями червячного колеса; как его величина связана с другими геометрическими параметрами передачи?
14. Возможно ли передаточное число червячной передачи выразить через начальные диаметры подвижных звеньев аналогично зубчатой передаче?
15. Какой показатель называют скоростью скольжения в червячной передаче и как он связан со скоростями движения витков червяка и зубьев червячного колеса?
16. От чего зависит коэффициент полезного действия червячного зацепления?
17. Что понимают под самоторможением червячной передачи?
18. Назовите составляющие силы, действующей на витки червяка в зацеплении, и равные им составляющие силы, действующей на зубья червячного колеса.
19. Почему элементы зубчатого зацепления выполняют, как правило, из одинаковых
20. материалов, а червячного из разных?
21. Какие основные критерии червячной передачи влияют на выбор материала для изготовления зубчатого венца червячного колеса?
é
Рис. 6.1. Червячная передача: 1 –червяк; 2 –червячное колесо.
Рис. 6.2. Установка резца при нарезании архимедовых (1), конволютных (2) и эвольвентных (3) червяков.
Рис. 6.3. Размеры цилиндрического червяка
Рис. 6.4. Параметры венца червячного колеса
Рис. 6.5. Схема скоростей в червячной передаче
Рис. 6.6. Силы в червячной передаче