Вопросы, изложенные в лекции:
1. Конструктивные особенности и параметры ЦКЗП.
2. Кинематика и динамика ЦКЗП.
3. Расчет ЦКЗП.
| Конструктивные особенности и параметры ЦКЗП. |
В предыдущей лекции представлены конструкция и параметры зубчатого венца зубчатых колёс. Конструкция остальных частей зубчатого колеса в значительной мере определяется выбранными материалами, габаритными размерами колеса и технологией его изготовления.
Обычно в большинстве зубчатых колес можно выявить три основных элемента:
– обод – часть зубчатого колеса, несущая зубчатый венец (1 на рис. 5.1, г и 5.2, а); наиболее часто обод совмещают с зубчатым венцом, но иногда их выполняют раздельными (например, из разных материалов);
– ступица - часть зубчатого колеса, соединяющая его с валом, несущим зубчатое колесо (3 на рис. 5.1, г и 5.2, а); зубчатые колеса малого диаметра по сравнению с валом, несущим это колесо, выполняются, как правило, за одно целое с этим валом и называются вал-шестерня ( рис. 5.1, д и 5.2, б);
– диск - часть зубчатого колеса, соединяющая обод со ступицей; в литых и сварных зубчатых колесах диск зачастую заменяется отдельными спицами.
Рис. 5.1. Виды цилиндрических зубчатых колёс. |
Рис. 5.2. Виды конических зубчатых колёс. |
В единичном и мелкосерийном производстве зубчатые колеса диаметром до 200 мм обычно изготавливают методом точения из круглого проката. Заготовку для колес диаметром до 600 мм часто получают ковкой, а в массовом производстве горячей штамповкой в двусторонних молотовых штампах. Заготовки колес большего диаметра в мелкосерийном производстве изготавливают сваркой, а в массовом производстве для этой цели используют технологию литья в земляные формы.
Конструктивные параметры зубчатых колес представлены на рис. 5.3. Толщина обода цилиндрических и конических зубчатых колес может быть выбрана по эмпирическому соотношению
Рис. 5.3. Конструктивные параметры точеных и кованых колес (пояснения в тексте). |
, (5.1)
в котором m – модуль зацепления (для конических колес следует использовать внешний модуль me (mte)), b – ширина зубчатого венца.
Толщину диска принимают равной:
для цилиндрических колёс
, (5.2)
для конических колёс
. (5.3)
Диаметр ступицы - dст = 1,55×d, а её длину - lст = (0,8…1,5)×d, где d – посадочный диаметр вала.
У колес большого диаметра с целью экономии легированной стали иногда применяют насадной зубчатый венец (сборные зубчатые колёса), который крепится на ободе так, чтобы исключить возможность его проворачивания.
| Кинематика и динамика ЦКЗП. |
Рис. 5.4. Скольжение зубьев в процессе работы передачи |
В процессе работы эвольвентной зубчатой передачи рабочие участки профилей зубьев одновременно обкатываются и скользят друг по другу (рис. 5.4.). Учитывая, что тангенциальные скорости зубьев в полюсе зацепления для шестерни и колеса равны между собой, и разлагая тангенциальные скорости v1 и v2 контактирующих точек сопряженных зубьев на две составляющих, одна из которых (v1’ и v2’) направлена по линии зацепления (то есть по нормали к взаимодействующим поверхностям зубьев), а вторая (v1” и v2”) – перпендикулярно к ней (то есть по касательной к поверхности контакта), обнаруживаем, что в момент прохождения точки контакта через полюс зацепления касательные скорости контактирующих профилей равны нулю, и скольжение профилей отсутствует (рис. 5.4, б). Во всех остальных случаях касательная скорость части профиля зуба, прилегающей к головке, больше аналогичной скорости контактирующего профиля сопряженного зуба, прилегающего к ножке последнего (рис. 5.4, а, в). Поскольку протяженность профилей ножки и головки примерно одинаковы, ножка зуба работает в наиболее неблагоприятных условиях (дольше работает в условиях трения скольжения), что ведет к её более интенсивному изнашиванию.
Рис. 5.5. Силы в прямозубой цилиндрической передаче. |
Рис. 5.6. Силы в косозубой цилиндрической передаче. |
Поскольку перенос точки приложения силы по линии её действия не меняет результатов действия силы, то силы взаимодействия зубьев принято определять в полюсе зацепления (рис. 5.5). Тогда нормальную силу взаимодействия рабочих поверхностей зубьев прямозубой передачи можно разложить на тангенциальную и радиальную составляющие. Из параллелограмма сил получаем
;
и
. (5.4)
Тангенциальная сила передает вращающий момент в передаче и таким образом участвует в передаче энергии (мощности) от входного (ведущего) вала передачи к её выходному (ведомому) валу.
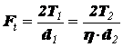
Но, выражая тангенциальную силу через передаваемые моменты и конструктивные параметры передачи, имеем
. (5.5)
В косозубой передаче за счет наклона продольной оси зуба к образующей делительного цилиндра кроме тангенциальной и радиальной сил появляется осевая сила (рис. 5.6).Соотношения между составляющими силы взаимодействия зубьев в этом случае будут следующими:
;
. и
(5.6)
При этом соотношения (5.5), связывающие тангенциальную силу с геометрическими параметрами передачи, остаются теми же самыми.
Рис. 5.7. Силы в прямозубой конической передаче. |
В конической зубчатой передаче также как и в цилиндрической косозубой появляются осевые составляющие силы взаимодействия зубьев, но причиной их возникновения является наклонное расположение зубьев. Силы в конической зубчатой передаче обычно приводятся к плоскости серединного сечения зубчатого венца (рис. 5.7).
Соотношения между силами, действующими на зубе шестерни будут следующими
. (5.7)
А силы на колесе выражаются через силы на шестерне Fr2 = Fa1 и Fa2= Fr1.
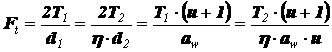
Тангенциальная составляющая выражается в этом случае с помощью конструктивных параметров передачи следующим образом
. (5.8)
| Расчет ЦКЗП. |
Основными критериями работоспособности закрытых зубчатых передач, обеспеченных достаточным количеством смазки является контактная прочность взаимодействующих поверхностей зубьев и прочность зубьев на изгиб.
При недостаточной контактной прочности рабочих поверхностей зубьев на этих поверхностях в области ножки происходит прогрессирующее усталостное выкрашивание металла, нарушающее геометрию зацепления и ослабляющее поперечное сечение зуба по отношению к изгибным напряжениям, что в конечном итоге приводит к усталостному излому зуба.
Таким образом расчет ведется из условия
и
(5.9)
При проектном расчете цилиндрических передач вначале вычисляется межосевое расстояние передачи
; (5.10)
где для прямозубой передачи Ka = 450 (Н/мм2)1/3;
для косозубой передачи Ka = 410 (Н/мм2)1/3;
KH – коэффициент нагрузки, учитывающий условия работы зубьев и качество их рабочих поверхностей и состоящий из произведения нескольких других коэффициентов; T1 – вращающий момент на шестерне, Нм; u - передаточное число передачи; [s]H – допускаемые напряжения для материалов, из которых изготовлены зубчатые колеса передачи, МПа yba – коэффициент ширины зубчатого венца колеса (венец шестерни обычно выполняется на 2…4 мм шире зубчатого венца колеса), изменяющийся обычно в пределах 0,2…0,5 в зависимости от способа закрепления валов, несущих зубчатые колеса. Полученное значение aw округляется до ближайшего большего стандартного значения.
Ширина зубчатого венца колеса в этом случае составит
. (5.11)
Далее определяется минимально допустимое значение модуля передачи
; (5.12)
где Km = 3,4×103 для прямозубых передач и Km = 2,8×103 для косозубых передач KF – коэффициент нагрузки, зависящий от точности изготовления передачи, скоростного режима её работы и качества материалов зубчатых колес; остальные величины определены выше.
Максимально возможное значение модуля зацепления определяют из условия неподрезания зубьев шестерни у основания
. (5.13)
В полученном диапазоне выбирают стандартное значение модуля, учитывая, что при малом значении модуля увеличивается коэффициент перекрытия зубьев, повышается КПД, снижается уровень шума, уменьшаются отходы металла в стружку, сокращается трудоемкость изготовления колеса, но при больших значениях модуля передача менее чувствительна к неточности межосевого расстояния, выше изгибная прочность зубьев её колес.
Далее определяют числа зубьев шестерни и колеса
и
(5.14)
При наличии перечисленных параметров остальные параметры передачи вычисляются по приведенным ранее формулам.
При проектном расчете конических зубчатых передач в первую очередь вычисляют внешний делительный диаметр зубчатого колеса, как определяющий в конечном итоге максимальный габаритный размер передачи.
; (5.15)
где Kd = 165 – вспомогательный коэффициент; T2 – вращающий момент на зубчатом колесе (на выходном валу), Нм; KHb - коэффициент неравномерности распределения нагрузки по длине зуба, зависящий от твердости поверхностей зубьев и характера закрепления валов, несущих зубчатые колеса передачи; [s]H – допускаемые контактные напряжения для материалов из которых изготовлены зубчатые колеса; vH – коэффициент, учитывающий ослабление зубьев конической передачи по сравнению с цилиндрической, для прямозубой конической передачи vH = 0,85; u - необходимое передаточное число конической зубчатой передачи.
Полученное значение внешнего делительного диаметра колеса следует округлить до ближайшего стандартного значения.
Ширину зубчатого венца можно определить по соотношению
; (5.16)
где
- коэффициент ширины зубчатого венца.
Число зубьев колеса вычисляют по эмпирической формуле
; (5.17)
где коэффициент С изменяется в пределах от 11,2 до 18 в зависимости от вида термической обработки рабочих поверхностей зубьев.
Далее вычисляют число зубьев шестерни
; (5.18)
Полученные числа зубьев округляют до ближайших целых величин и определяют фактическое передаточное число uф = z2/z1 с точностью не ниже 4-х знаков после запятой.
После этого вычисляют минимально допустимый внешний окружной модуль из условия прочности зуба при изгибе
; (5.19)
Далее определяют углы делительных конусов
и
; внешнее конусное расстояние
и среднее конусное расстояние
.
Внешние диаметры вершин зубьев шестерни и колеса находят по идентичным выражениям
. (5.20)
Таким образом в настоящей лекции представлены основные расчетные соотношения необходимые для выполнения проектного расчета цилиндрических и конических зубчатых колес с эвольвентным профилем зуба. Методику проверочного расчета, а также проектного расчета зубчатых передач с неэвольвентными зубчатыми колесами можно найти в учебной и справочной литературе.
| Вопросы для самоконтроля: |
1. Назовите основные элементы зубчатых колес.
2. Назовите основные способы изготовления заготовок зубчатых колес.
3. Назовите достоинства и недостатки зубчатых передач.
4. Назовите основные конструктивные параметры зубчатых передач, как они меж собой соотносятся?
5. Назовите основные кинематические параметры зубчатых передач, как они меж собой соотносятся?
6. В чем заключается главная особенность эвольвентных передач?
7. Назовите основные конструктивные параметры эвольвентных зубчатых передач, как они меж собой соотносятся?
8. Назовите основные кинематические параметры эвольвентных зубчатых передач, как они меж собой соотносятся?
9. Что называют конической зубчатой передачей?
10. Какова несущая способность конической передачи по сравнению с цилиндрической?
11. Какие дополнительные параметры характерны для конических зубчатых передач?
12. Что означают термины «эквивалентное зубчатое колесо» и «эквивалентное число зубьев» по отношению к конической передаче?
13. Какое зацепление называют циклоидальным?
14. Каковы достоинства и недостатки циклоидального зацепления?
15. Какое зацепление называют цевочным, в чем его преимущества?
16. Где применяется цевочное зацепление?
17. В чем заключается главная особенность зубчатого зацепления, предложенного М.Л. Новиковым?
18. Какое зацепление называют дополюсным, заполюсным, дозаполюсным?
19. Сравните несущую способность эвольвентного и круговинтового зацеплений, что является причиной различия в их несущей способности?
é
Рис. 5.1. Виды цилиндрических зубчатых колёс.
Рис. 5.2. Виды конических зубчатых колёс.
Рис. 5.3. Конструктивные параметры точеных и кованых колес (пояснения в тексте).
Рис. 5.4. Скольжение зубьев в процессе работы передачи
Рис. 5.5. Силы в прямозубой цилиндрической передаче.
Рис. 5.6. Силы в косозубой цилиндрической передаче.
Рис. 5.7. Силы в прямозубой конической передаче.