Лекция № 7. Червячные передачи (продолжение) (ЧП)

Вопросы, изложенные в лекции:

1. Критерии работоспособности и допускаемые напряжения ЧП.

2. Прочностной и тепловой расчет ЧП.

Критерии работоспособности и допускаемые напряжения ЧП.

В лекции № 6 рассмотрены конструкция, параметры, кинематика и динамика червячной передачи; представлены наиболее распространенные материалы для изготовления червяков и червячных колёс и изложены начальные сведения по изготовлению элементов зубчато-винтового зацепления.

Как можно было заметить по материалу предыдущей лекции, зубчатый венец червячного колеса изготавливается всегда из менее прочного материала по сравнению с витками червяка (чугун, бронза и латунь, как правило, менее прочны по сравнению со сталью). Поэтому в червячном зацеплении зуб червячного колеса является наиболее слабым элементом. Для него возможны все виды разрушений и повреждений, характерных для зубчатых передач: изнашивание и усталостное выкрашивание рабочих поверхностей зубьев, заедание и поломка зубьев. Однако, в отличие от зубчатых, в червячных передачах чаще возникает износ и заедание. При мягком материале зубчатого венца колеса (оловянистые бронзы) заедание проявляется в виде «намазывания» материала венца на червяк, но в этом случае передача может работать ещё достаточно продолжительное время (постепенный отказ). Если же материал венца червячного колеса достаточно твердый (чугун, алюминиево-железистые бронзы), заедание переходит в задир поверхности и провоцирует быстрое разрушение зубьев. Повышенный износ и заедание червячных передач связаны с большими скоростями скольжения и неблагоприятным направлением скольжения относительно линии контакта витков червяка с зубьями червячного колеса (скольжение вдоль линии контакта на поверхности зуба). По этой причине имеет важнейшее значение выбор материала для венца червячного колеса, который, в свою очередь, зависит от скорости скольжения витков червяка по зубьям червячного колеса.

С целью выбора материала для изготовления зубчатого венца червячного колеса предварительно ожидаемую скорость скольжения vs можно определить по выражению

, (7.1)

где vs – скорость скольжения, м/с; n1 – частота вращения червяка,
мин-1; T2 – вращающий момент на червячном колесе, Н×м.

Далее материал зубчатого венца червячного колеса выбирают в зави­симости от скорости скольжения vs и в соответствии с рекомендациями, представленными в предыдущей лекции.

После этого определяют циклическую долговечность передачи

, (7.2)

где n2 – частота вращения червячного колеса, мин-1, Lh – ресурс работы передачи, час (например, при 300 рабочих днях в году и односменной восьмичасовой работе годовой ресурс составит 300×8=2400 часов).

Допускаемые контактные напряжения для оловянистых бронз (группа I) вычисляют из условия обеспечения контактной выносливости материала:

, (7.3)

Таблица7.1. Механические показатели материалов венцов червячных колёс
Группа материалов Марка материала Способ отливки sТ sВ sВН Скорость скольжения, м/с
Н/мм2 (МПа)
I БрО10Н1Ф1 Центробежный     - >5
БрО10Ф1 В кокиль     -
В песок     -
II БрА9Ж3Л Центробежный     - 2…5
В кокиль     -
В песок     -
III СЧ15 В песок - -   <2
 

где sH0 – предел контактной выносливости рабочей поверхности зубьев, соответствующий числу циклов нагружения, равному 107. Обычно принимают , где sВ - предел прочности материала зуб­чатого венца червячного колеса для разных материалов представлен в табл. 7.1. ZN – коэффициент долговечности, вычисляемый по соотношению

. (7.4)

Если по расчету циклическая долговечность передачи NH=NS ³ 25×107, то в зависимость (7.4) следует подставить 25×107, что дает ZN» 0,67.

CV – коэффициент, учитывающий интенсивность изнашивания зубьев червячного колеса в зависимости от скорости скольжения vs, при vs £ 3 CV принимают равным 1,11, при vs ³ 8 CV принимают равным 0,8, а в интервале 3< vs < 8 он может быть определен по эмпирической зависимости

. (7.5)

Допускаемые контактные напряжения для безоловянистых бронз (группа II) вычисляют из условия сопротивления заеданию:

. (7.6)

Допускаемые контактные напряжения для чугуна (группа III) определяют также из условия сопротивления заеданию:

. (7.7)

В выражениях (7.3), (7.6) и (7.7) [s]Н – в Н/мм2 (МПа), vS – в м/с, а большие значения [s]Н принимают для червяков с твердостью рабочей поверхности витков³ 45 HRC.

После выбора материалов для элементов зубчато-винтового зацепле­ния и определения допускаемых напряжений приступают к прочностному расчету передачи. При этом допускаемые напряжения изгиба зубьев опреде­ляют на стадии проверочного расчета с учетом конкретных параметров пе­редачи.

Прочностной и тепловой расчет ЧП.

Прочностной расчет червячной передачи включает два основных этапа: 1) проектный расчет, имеющий целью определение основных геометрических, кинематических и силовых параметров передачи, и 2) проверочный расчет, имеющий целью проверку сохранения работоспособности передачи в течение заданного срока работы.

Проектный расчет, как уже отмечалось, обычно выполняется по контактным напряжениям, а в основу вывода расчетных формул положены те же исходные зависимости и допущения, что и при расчете зубчатых передач (формула Герца для контакта двух упругих криволинейных поверхностей).

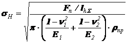
Наибольшее контактное напряжение в зоне контакта витка червяка с зубом червячного колеса по формуле Герца можно представить в следующем виде

, (7.а)

где E1 и E2, n1 и n2 – модули упругости и коэффициенты Пуассона для материалов червяка и венца червячного колеса, rпр – приведенный радиус кривизны поверхностей в точке контакта, Fn – нормальное усилие сжатия поверхностей в точке контакта, lkS - суммарная длина контактной линии.

При проектном расчете передачи, предварительно задавшись величи­ной коэффициента расчетной нагрузки KH = 1,1…1,4 (меньшие значения для передачи с постоянной нагрузкой, большие – для высокоскоростных пере­дач и переменной нагрузки), определяют межосевое расстояние передачи

. (7.8)

Полученное значение межосевого расстояния aw для стандартного редуктора следует округлить до ближайшего стандартного значения (ГОСТ 2144-93; табл. 7.2), для нестандартной червячной передачи – до ближайшего значения по ряду Ra40 нормальных линейных размеров (ГОСТ 6636-69)

Таблица7.2. Ряды межосевых расстояний червячных передач
1-й ряд (предпочтительно)                    
2-й ряд - - - -           -
 

В зависимости от необходимого передаточного числа uн назначают число витков (число заходов) червяка z1 по табл. 7.3.

Таблица 7.3. Рекомендуемое число витков червяка в зависимости от передаточного числа червячной передачи.
uн 8…14 Св. 14…30 Св. 30
z1      

По выбранному числу заходов червяка z1 и необходимому передаточному числу uн вычисляют число зубьев червячного колеса

, (7.9)

и полученное значение z2 округляют до ближайшего целого числа.

По принятым z1 и z2 уточняют фактическое передаточное число

, (7.10)

которое не должно отличаться от необходимого более чем на 4%.

Интервал, в котором должен лежать осевой модуль зацепления вычисляют по эмпирической зависимости

. (7.11)

В выделенном интервале выбирают стандартное значение модуля m (табл. 7.4). По известному значению модуля m, межосевого расстояния aw и числа зубьев колеса z2 определяют необходимую величину коэффициента диаметра червяка q

Таблица 7.4. Сочетание модулей m и коэффициентов диаметра червяка q (ГОСТ 2144-93)
m q m q
2,00 2,50 3,15 4,00 5,00 8,0 10,0 12,5 16,0 20,0 8,00 10,00 12,5 8,0 10,0 12,5 16,0 20,0
6,30 8,0 10,0 12,5 14,0 16,0 20,0 16,00 8,0 10,0 12,5 16,0
20,00 8,0 10,0
Примечание: Допустимо любое сочетание m и q из клеток, соседствующих по горизонтали.

. (7.12)

Полученное значение коэффициента диаметра червяка q округляют до стандартной величины (табл. 7.4). При этом с целью обеспечения достаточной жесткости червяка должно удовлетворяться условие

. (7.13)

По принятым параметрам m, q, z1 и z2 вычисляют все геометрические параметры передачи по формулам табл. 7.5. Результаты проектного расчёта собирают в итоговую таблицу (подобную табл. 7.5), в одном столбце которой представлены геометрические параметры передачи, в другом – их значение: линейных размеров в мм; угловых в десятичных градусах с не менее чем шестью знаками после запятой, либо в градусах, минутах и секундах.

Таблица 7.5.
Формулы для определения геометрических параметров червячного зацепления

Определяемый параметр Расчетные формулы
1. Межосевое расстояние (7.14)
2. Делительный диаметр червяка (7.15)
3. Диаметр вершин витков червяка (7.16)
Диаметр впадин витков червяка (7.17)
Угол подъёма витков червяка (7.18)
Длина нарезанной части червяка при  
z1 = 1 или 2 (7.19)
z1 = 4 (7.20)
Делительный диаметр червячного колеса (7.21)
Диаметр вершин зубьев червячного колеса (7.22)
Диаметр впадин зубьев червячного колеса (7.23)
Наибольший диаметр червячного колеса (7.24)
Ширина венца червячного колеса при  
z1 = 1 или 2 (7.25)
z1 = 4 (7.26)

На этом проектная часть прочностного расчета заканчивается (геометрические параметры передачи установлены) и начинается проверочный расчет. В процессе проверочного расчета зубья червячного колеса проверяются на контактную выносливость и на прочность при изгибе. Кроме того, выполняется проверка передачи на сохранение температурного режима при продолжительной работе.

Таблица7.6. Коэффициент динамической нагрузки KHv
Степень точности по ГОСТ 3675-81 Скорость скольжения vs, м/с
До 1,5 1,5…3 3…7,5 7,5…12 12…18
  - - 1,0 1,1 1,3
  1,0 1,0 1,1 1,2 -
  1,15 1,25 1,4 - -
  1,25 - - - -

Фактическая скорость скольжения вычисляется по формуле

. (7.27)

По полученной скорости скольжения vS и выбранной степени точности передачи назначается коэффициент динамической нагрузки KHv (табл.7.6), а по числу витков червяка и коэффициенту его диаметра назначают коэффициент деформации червяка Kf (табл. 7.7).

Таблица7.7.
Коэффициент деформации червяка Kf

z1 Коэффициент диаметра червяка q
    12,5      
             
             
             
             

Далее определяют коэффициент режима работы передачи Kр по табл. 7.8.

Таблица7.8. Коэффициент режима работы червячной передачи Kр
Интенсивность работы эл. двигателя Коэффициент режима Kр при нагрузке
постоянной пульсирующей ударной
При редких пусках 0,0177t + 0,8257 0,0245t + 0,9386 0,0283t + 1,1171
При частых пусках и остановках 0,0245t + 0,9386 0,0283t + 1,1171 0,0283t + 1,3671
Примечание: t – среднее время работы передачи в течение суток, часов в сутки

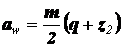
Определяют величину коэффициента концентрации нагрузки KHb из выражения


(7.28)

или

, (7.28а)

а, зная коэффициент концентрации нагрузки KHb и коэффициент динамической нагрузки KHv, можно вычислить коэффициент расчетной на­грузки KH

, (7.29)

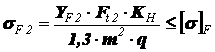
Проверку передачи на выносливость выполняют по формуле

. (7.30)

Если условие (7.30) не удовлетворяется, необходимо увеличить межосевое расстояние aw и произвести перерасчет передачи. Если же действующие напряжения sН меньше допускаемых более чем на 20 %, необходимо уменьшить межосевое расстояние передачи с последующим перерасчетом параметров передачи.

По реальной скорости скольжения vS (м/с) в передаче определяют коэффициент f и угол трения r

, (7.31)

где коэффициенты A, B и C для разных групп материалов (табл. 7.1) представлены в таблице 7.9.

Таблица 7.9. Значения коэффициентов формулы (7.31)
Группа материалов A B C  
 
I (бронзы оловянистые) 1,04 6,40 0,8429  
II (бронзы безоловянистые) 1,64 7,60 0,9534  
III (чугуны)  
 

Известный угол трения позволяет уточнить КПД передачи. Принимая КПД одной подшипниковой пары равным 0,98, для передачи в целом имеем

. (7.32)

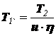
По реальному КПД уточняют вращающий момент на червяке

(7.33)

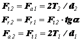
и вычисляют нагрузки в зацеплении

. (7.34)

Допускаемые напряжения изгиба для материала венца червячного колеса составляют:

для всех бронз

при нереверсивной (односторонней) нагрузке

; (7.35)

при реверсивной (двухсторонней) нагрузке

; (7.36)

для чугунных венцов

при нереверсивной (односторонней) нагрузке

; (7.37)

при реверсивной (двухсторонней) нагрузке

; (7.38)

где sТ, sВ и sВи – предел текучести, предел прочности и предел прочности при изгибе материала, для которого вычисляются допускаемые напряжения.

Определяют число зубьев эквивалентного прямозубого колеса по формуле

. (7.39)

Используя которое, коэффициент формы зуба YF2 можно вычислить по эпирической зависимости

(7.40)

Проверку прочности зубьев червячного колеса на изгиб выполняют по формуле

. (7.41)

Если в результате расчета условие (7.40)не удовлетворяется, то прочность зуба на изгиб можно повысить за счёт увеличения модуля с последующим пересчетом всех геометрических параметров передачи, либо заменой материала венца червячного колеса на другой с более высокими механическими характеристиками.

Высокое тепловыделение в червячной передаче, обусловленное её относительно малым КПД, требует принятия специальных мер для поддержания нормальной рабочей температуры деталей передачи. Допустимая температура масла в корпусе червячного редуктора обычно не должна превышать 70…90°С.

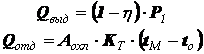
Тепловой расчет червячной передаче базируется на соотношении

(7.42)

где Qвыд – количество тепловой энергии, выделяемое при работе передачи, Qотд – количество тепла, которое способно отдать в окружающую среду охлаждающее устройство. Эти количества тепла могут быть вычислены по формулам

, (7.43)

где P1 – мощность, подводимая к червяку передачи, Aохл – площадь, омываемая охлаждающим агентом (воздух, охлаждающая вода), KТ - коэффициент теплоотдачи охлаждаемой поверхности, tМ и tо – температура масла в корпусе передачи и охлаждающего агента, соответственно.

При охлаждении потоком воздуха с целью увеличения площади охлаждаемой поверхности её оребряют, причем рёбра должны быть направлены по ходу потока охлаждающего воздуха.

При свободном конвективном охлаждении коэффициент теплоотдачи КТ = 8…17 Вт/м2×°С, при вентиляторном охлаждении (вентилятор обычно закрепляют на свободном конце вала-червяка) - КТ = 20…28 Вт/м2×°С, при водяном охлаждении - КТ = 70…100 Вт/м2×°С

В лекции рассмотрены основы проектного и проверочного расчета параметров червячных передач. Представлены основные критерии работоспособности передач, порядок выбора материалов для элементов передачи и методы определения допускаемых напряжений. Достаточно подробно изложены проектный и проверочный расчеты. В следующей лекции будут рас­смотрены, другие виды передач, применяемых в транспортной и военной технике.

Вопросы для самоконтроля:

1. Назовите наименее прочный элемент червячного зацепления.

2. Назовите основные виды возможных разрушений зубьев червячного колеса.

3. Какой критерий является главным при выборе материала венца червячных колес?

4. Как определяется циклическая долговечность передачи?

5. Какие группы материалов применяются для изготовления венцов червячных колёс, в чём их различия?

6. Какие напряжения приняты в качестве основных при проектном расчёте червячных передач?

7. Назовите геометрический параметр, определяемый в первую очередь при проектном расчёте?

8. Перечислите другие геометрические параметры, определяемые при проектном расчёте червячной передачи.

9. По каким параметрам прочности выполняется проверочный расчет червячной передачи?

10. Что следует предпринять, если спроектированная передача не обеспечивает необходимой контактной прочности зубьев? А если запас прочности чрезмерно велик?

11. Как установить реальный КПД червячной передачи?

12. Сравните КПД червячной передачи в момент пуска (vs нач» 0,1 vs ном) и при нормальной её работе.

13. Что следует предпринять, если спроектированная передача не обеспечивает необходимой изгибной прочности зубьев? А если запас прочности чрезмерно велик?

14. Чем обусловлена необходимость теплового расчета червячной передачи?

15. Какие меры необходимо предпринять с целью предотвращения перегрева червячной передачи?

16. Как следует расположить охлаждающие рёбра на поверхности корпуса червячного редуктора при конвективном охлаждении его наружным воздухом, а как при принудительном обдуве?

é






Подборка статей по вашей теме: