Вопросы, изложенные в лекции:
1. Назначение, классификация ВиО, применение в МГКМ.
2. Материалы для изготовления ВиО, термическая и механическая обработка.
3. Критерии работоспособности и расчет ВиО.
| Назначение, классификацияВиО, применение в МГКМ. |
В предыдущих лекциях шла речь о передачах, как едином целом механизме, а также рассматривались элементы, непосредственно участвующие в передаче движения от одного звена механизма к другому. В данной теме будут представлены элементы, предназначенные для крепления частей механизма, непосредственно участвующих в передаче движения (шкивы, звёздочки, зубчатые и червячные колёса и т.п.). В конечном итоге, качество механизма, его КПД, работоспособность и долговечность в значительной мере зависят и от тех деталей, о которых будет идти речь в дальнейшем. Первыми из таких элементов механизма рассмотрим валы и оси.
Рис. 9.1. Вал редуктора. |
Рис. 9.2.Ось барабана лебёдки: а) вращающаяся; б) неподвижная. |
Вал (рис. 9.1) – деталь машины или механизма предназначенная для передачи вращающего или крутящего момента вдоль своей осевой линии. Большинство валов – это вращающиеся (подвижные) детали механизмов, на них обычно закрепляются детали, непосредственно участвующие в передаче вращающего момента (зубчатые колёса, шкивы, звёздочки цепных передач и т.п.).
|
|
|
Ось (рис. 9.2) – деталь машины или механизма, предназначенная для поддержания вращающихся частей и не участвующая в передаче вращающего или крутящего момента. Ось может быть подвижной (вращающейся, рис. 9.2а) или неподвижной (рис. 9.2б).
1. По форме продольной геометрической оси -
1.1. прямые (продольная геометрическая ось – прямая линия), например, валы редукторов, валы коробок передач гусеничных и колёсных машин;
1.2. коленчатые (продольная геометрическая ось разделена на несколько отрезков, параллельных между собой смещённых друг относительно друга в радиальном направлении), например, коленвал двигателя внутреннего сгорания;
1.3. гибкие (продольная геометрическая ось является линией переменной кривизны, которая может меняться в процессе работы механизма или при монтажно-демонтажных мероприятиях), часто используются в приводе спидометра автомобилей.
2. По функциональному назначению -
2.1. валы передач, они несут на себе элементы, передающие вращающий момент (зубчатые или червячные колёса, шкивы, звёздочки, муфты и т.п.) и в большинстве своём снабжены концевыми частями, выступающими за габариты корпуса механизма;
2.2. трансмиссионные валы предназначены, как правило, для распределения мощности одного источника к нескольким потребителям;
|
|
|
2.3. коренные валы - валы, несущие на себе рабочие органы исполнительных механизмов (коренные валы станков, несущие на себе обрабатываемую деталь или инструмент называют шпинделями).
3. Прямые валы по форме исполнения и наружной поверхности -
3.1. гладкие валы имеют одинаковый диаметр по всей длине;
3.2. ступенчатые валы отличаются наличием участков отличающихся друг от друга диаметрами;
3.3. полые валы снабжены сквозным или глухим отверстием, соосным наружной поверхности вала и простирающимся на большую часть длины вала;
3.4. шлицевые валы по внешней цилиндрической поверхности имеют продольные выступы – шлицы, равномерно расположенные по окружности и предназначенные для передачи моментной нагрузки от или к деталям, непосредственно участвующим в передаче вращающего момента;
3.5. валы, совмещённые с элементами, непосредственно участвующими в передаче вращающего момента (вал-шестерня, вал-червяк).
Конструктивные элементы валов представлены на рис. 9.3.
Опорные части валов и осей, через которые действующие на них нагрузки передаются корпусным деталям, называются цапфами. Цапфу, расположенную в средней части вала, обычно называют шейкой. Концевую цапфу вала, передающую корпусным деталям только радиальную нагрузку или радиальную и осевую одновременно, называют шипом, а концевую цапфу, передающую только осевую нагрузку, называют пятой. С цапфами вала взаимодействуют элементы корпусных деталей, обеспечивающие возможность вращения вала, удерживающие его в необходимом для нормальной работы положении и воспринимающие нагрузку со стороны вала. Соответственно элементы, воспринимающие радиальную нагрузку (а часто вместе с радиальной и осевую) называют подшипниками, а элементы, предназначенные для восприятия только осевой нагрузки – подпятниками.
Рис. 9.3. Основные элементы вала. |
Кольцевое утолщение вала малой протяжённости, составляющее с ним одно целое и предназначенное для ограничения осевого перемещения самого вала или насаженных на него деталей, называют буртиком.
Переходная поверхность от меньшего диаметра вала к большему, служащая для опирания насаженных на вал деталей, называется заплечиком.
Рис. 9.4. Различные способы оформления переходной части между цилиндрической поверхностью и заплечиком. |
Переходная поверхность от цилиндрической части вала к заплечику, выполненная без удаления материала с цилиндрической и торцевой поверхности (рис. 9.4. б, в), называется галтелью. Галтель предназначается для снижения концентрации напряжений в переходной зоне, что в свою очередь ведёт к увеличению усталостной прочности вала. Чаще всего галтель выполняют в форме радиусной поверхности (рис. 9.4. б), однако в отдельных случаях галтель может быть выполнена в форме поверхности переменной двойной кривизны (рис. 9.4. в). Последняя форма галтели обеспечивает максимальное уменьшение концентрации напряжений, однако требует выполнения специальной фаски в отверстии насаживаемой детали.
Углубление малой протяжённости на цилиндрической поверхности вала, выполненное по радиусу к оси вала, называют канавкой (рис. 9.4. а, г, е). Канавка, также как и галтель, очень часто используется для оформления перехода от цилиндрической поверхности вала к торцевой поверхности его заплечика. Наличие канавки в этом случае обеспечивает благоприятные условия для формирования цилиндрических посадочных поверхностей, так как канавка является пространством для выхода инструмента, формирующего цилиндрическую поверхность при механической обработке (резец, шлифовальный круг). Однако канавка не исключает возможности образования ступеньки на торцевой поверхности заплечика.
Углубление малой протяжённости на торцевой поверхности заплечика вала, выполненное вдоль оси вала, называют поднутрением (рис. 9.4. д). Поднутрение обеспечивает благоприятные условия для формирования торцевой опорной поверхности заплечика, так как является пространством для выхода инструмента, формирующего эту поверхность при механической обработке (резец, шлифовальный круг), но не исключает возможности образования ступеньки на цилиндрической поверхности вала при её окончательной обработке.
|
|
|
Обе указанные проблемы решает введение в конструкцию вала наклонной канавки (рис. 9.4. е), которая совмещает достоинства, как цилиндрической канавки, так и поднутрения.
Рис. 9.5. Разновидности конфигурации цапф |
Цапфы валов могут иметь форму различных тел вращения (рис. 9.5): цилиндрическую, коническую или сферическую. Шейки и шипы чаще всего выполняют в форме цилиндра (рис. 9.5 а, б). Цапфы такой формы достаточно технологичны при изготовлении и ремонте и широко применяются как с подшипниками скольжения, так и с подшипниками качения. В форме конуса выполняют концевые цапфы (шипы, рис. 9.5 в) валов, работающие, как правило, с подшипниками скольжения, с целью обеспечения возможности регулировки зазора и фиксации осевого положения вала. Конические шипы обеспечивают более точную фиксацию валов в радиальном направлении, что позволяет уменьшить биения вала при высоких частотах вращения. Недостатком конических шипов является склонность к заклиниванию при температурном расширении (увеличении длины) вала.
Сферические цапфы (рис. 9.5 г) хорошо компенсируют несоосности подшипников, а также снижают влияние изгиба валов под действием рабочих нагрузок на работу подшипников. Основным недостатком сферических цапф является повышенная сложность конструкции подшипников, что увеличивает стоимость изготовления и ремонта вала и его подшипника.
Пяты (рис. 9.6) по форме и числу поверхностей трения можно разделить на сплошные, кольцевые, гребенчатые и сегментные.
Сплошная пята (рис. 9.6 а) наиболее проста в изготовлении, но характеризуется значительной неравномерностью распределения давления по опорной площади пяты, затруднительным выносом продуктов износа смазочными жидкостями и существенно неравномерным износом.
|
|
|
Кольцевая пята (рис. 9.6 б) с этой точки зрения более благоприятна, хотя и несколько сложнее в изготовлении. При подаче смазки в приосевую область её поток движется по поверхности трения в радиальном направлении, то есть перпендикулярно направлению скольжения, и таким образом отжимает трущиеся поверхности одна от другой, создавая благоприятные условия для относительного проскальзывания поверхностей.
Рис. 9.6. Некоторые формы пят. |
Сегментная пята может быть получена из кольцевой посредством нанесения на рабочую поверхность последней нескольких неглубоких радиальных канавок, симметрично расположенных по кругу. Условия трения в такой пяте ещё более благоприятные по сравнению с вышеописанными. Наличие радиальных канавок способствует образованию жидкостного клина между трущимися поверхностями, что ведёт к их разделению при пониженных скоростях скольжения.
Гребенчатая пята (рис. 9.6 в) имеет несколько опорных поясков и предназначена для восприятия осевых нагрузок значительной величины, но в этой конструкции достаточно трудно обеспечить равномерность распределения нагрузки между гребнями (требуется высокая точность изготовления, как самой пяты, так и подпятника). Сборка узлов с такими подпятниками тоже достаточно сложна.
Рис. 9.7. Вал цилиндрической передачи в сборе с шестерней и подшипниками качения |
Выходные концы валов (рис. 9.1; 9.7) обычно имеют цилиндрическую или коническую форму и снабжаются шпоночными пазами или шлицами для передачи вращающего момента.
Цилиндрические концы валов проще в изготовлении и особенно предпочтительны для нарезания шлицов. Конические концы лучше центрируют насаженные на них детали и в связи с этим более предпочтительны для высокоскоростных валов.
| Материалы для изготовления ВиО, термическая и механическая обработка. |
Материалы валов и осей должны быть прочными (хорошо противостоять знакопеременным нагрузкам), обладать высокой жесткостью (иметь высокий модуль упругости) и вместе с тем хорошо обрабатываться. Наиболее полно этим требованиям удовлетворяют углеродистые и легированные стали.
Для изготовления малонагруженных валов применяют углеродистые стали Ст5, Ст6, а для более ответственных - все три группы сталей, распространенных в машиностроении:
1. Качественные среднеуглеродистые стали марок 40, 45, 50 используются для изготовления валов стационарных машин и механизмов. Заготовку из таких сталей перед механической обработкой подвергают улучшающей термической обработке (HRCэ £ 36). Валы вытачивают на токарном станке с последующей шлифовкой посадочных мест и цапф на шлифовальном станке.
2. Среднеуглеродистые легированные стали марок 40Х, 45Х, 40ХН, 40ХНМА, 35ХГСА. Из этих сталей изготавливают валы для ответственных передач подвижных машин (валы коробок передач гусеничных машин). Улучшающей термообработке (HRCэ £ 45) чаще всего подвергают деталь уже после предварительной токарной обработки. Окончательно посадочные поверхности и цапфы шлифуют на шлифовальных станках, а в ремонтном производстве иногда на токарном станке с применением специальной шлифовальной головки.
3. Мало- и среднеуглеродистые легированные стали марок 20Х, 12ХН3А, 18ХГТ, 25ХГТ, 38Х2МЮА идут на изготовление валов высоконагруженных передач, работающих в реверсивном режиме (шлицевые валы коробок передач колёсных машин). Вал, изготовленный с минимальным припуском под окончательную обработку, подвергается поверхностной химико-термической обработке (цементация, азотирование и т.п.), и закаливается до высокой поверхностной твердости (HRCэ 55…65). Рабочие поверхности шлицов, посадочные поверхности и поверхности цапф шлифуются после термической обработки с целью получения необходимой точности.
| Критерии работоспособности и расчет ВиО. |
Вращающиеся валы и оси обычно нагружены со стороны элементов, непосредственно участвующих в передаче движения (шкивы, звёздочки, зубчатые колёса, барабаны и т.п.), силами, направление действия которых по отношению к опасным сечениям вала постоянно меняется из-за вращения самих этих сечений. Кроме того, поперечные сечения валов, как элементов, передающих крутящий момент, испытывают и касательные напряжения, которые при реверсировании движения тоже меняют своё направление. Чрезмерный изгиб валов в поперечном направлении приводит к нарушению нормальной работы элементов, непосредственно передающих движение, и, вследствие поворота поперечных сечений цапф, подшипниковых узлов. В силу этого основными критериями работоспособности валов и вращающихся осей являются усталостная прочность и жёсткость.
При расчете осей и валов их прочность оценивают по коэффициенту запаса усталостной прочности, а жёсткость – величиной прогиба под действием рабочих нагрузок, углом поворота отдельных сечений (чаще всего опорных сечений цапф) в плоскости осевого сечения и углом закру чивания поперечных сечений под действием крутящего момента.
Таким образом, основными расчётными нагрузочными факторами являются крутящие T и изгибающие M моменты. Влияние на прочность вала растягивающих и сжимающих сил само по себе незначительно и в большинстве случаев не учитывается.
Расчёт вала должен, как правило, включать, по меньшей мере, три основных этапа: проектировочный расчёт, формирование расчетной схемы и проверочный расчёт. В некоторых случаях к этим трём этапам расчёта добавляются и другие, например, для быстроходных валов часто выполняют расчёт на колебания (расчёт вибрационной стойкости), для валов, работающих в широком температурном диапазоне, расчёт тепловых деформаций, теплостойкости и т.п.
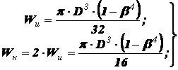
Проектный расчёт валов производят только на статическую прочность по передаваемому крутящему моменту T. При этом расчёте определяется минимальный из всех диаметр вала (чаще всего таковым является диаметр выходного конца вала), а с целью компенсации неучтённых изгибных нагрузок и других факторов (концентраторов напряжений, шпоночных канавок и т.п.), влияющих на прочность вала, принимают заниженные значения допускаемых касательных напряжений [t]к» (0,025…0,030)× sВ.
В этом случае диаметр вала определяется по известной зависимости сопромата
; (9.1)
где tк – максимальные касательные напряжения, действующие в наружных волокнах опасного сечения вала; Tк - крутящий момент, передаваемый через это сечение; Wп – полярный момент инерции рассматриваемого сечения.
Учитывая, что большинство валов в машиностроении имеет круговое либо кольцевое (для полых валов) поперечное сечение, после представления полярного момента инерции сечения через его диаметры из (9.1) получаем
; (9.2)
где D – внешний диаметр вала; b = d/D – относительный диаметр осевого отверстия полого вала (d – абсолютное значение диаметра этого отверстия). При этом можно отметить, что для b £ 0,5 расчёт полого вала как сплошного даёт погрешность менее 2,5% от диаметра вала, значительно перекрываемую за счёт занижения допускаемых напряжений. Отсюда следует возможность рассчитывать толстостенные валы как сплошные (выражение в скобках принять равным 1).
Полученный таким расчётом диаметр вала округляют до ближайшего большего значения из рядов нормальных линейных размеров по ГОСТ 6636-69. Диаметры других ступеней вала устанавливают из конструктивных соображений в процессе эскизного проектирования механизма.
Формирование расчётной схемы возможно только после полного конструктивного оформления вала на основе проектного расчёта, эскизного проектирования, подбора подшипников и расчёта конструктивных элементов, участвующих в передаче вращающего момента.
При формировании расчётной схемы вал обычно представляют в виде балки, лежащей на опорах (число опор обычно равно числу подшипников), одна из которых считается закреплённой в осевом направлении.
Если вал закреплён в корпусе посредством радиальных или сферических, шариковых либо роликовых подшипников, опору считают расположенной на геометрической оси вала в точке пересечения с поперечной осью симметрии подшипника.
При использовании радиально-упорных подшипников за точку опоры принимают точку продольной геометрической оси вала, лежащую на её пересечении с нормалью к поверхности качения, проведённой через центр тел качения.
Для подшипников скольжения, а также при установке сдвоенных подшипников качения за точку опоры принимают точку, лежащую на оси вращения и расположенную на расстоянии, равном 0,2…0,3 длины подшипника (суммарной длины пары подшипников качения) от его (их) внутренней кромки.
Силы, действующие на вал со стороны ступиц шкивов, шестерён, звёздочек и других подобных элементов, считают приложенными по середине ступицы, если последняя расположена между подшипниками, и на расстоянии 0,25…0,3 длины ступицы со стороны её внутреннего края, при её консольной установке (то есть на конце вала).
Величину и направление сил, действующих на вал со стороны элементов, непосредственно передающих вращательное движение, определяют по результатам расчёта соответствующей передачи, а величину сил от муфт, возникающих вследствие несоосности валов, определяют по формулам, представленным в расчёте муфт выбранной конструкции. Направление поперечных сил, действующих на вал в плоскости его поперечного сечения со стороны муфт, может быть любым, поэтому при формировании расчётной схемы принимают наиболее неблагоприятное направление этих сил с точки зрения прочности вала. Так, например, при формировании расчётной схемы вала, представленного на рис. 9.7, если его наружный конец будет снабжён муфтой, силу на этом конце со стороны муфты следует направить в направлении, совпадающем с направлением тангенциальной составляющей силы, действующей на зубья шестерни. Именно в этом случае нагружение вала поперечными силами будет наиболее неблагоприятным с точки зрения прочности и жёсткости вала.
Проверочный расчёт валов производится после формирования расчётной схемы и уточнения всех нагрузок, как по величине, так и по направлению. Этот вид расчёта предусматривает проверку вала на статическую прочность по наибольшей возможной кратковременной нагрузке и на усталостную прочность при переменных напряжениях. В последнем случае вычисляется коэффициент фактического запаса прочности в предположительно опасных сечениях, которые предварительно намечаются согласно эпюре моментов с учётом размеров поперечного сечения и зон концентрации напряжений.
На статическую прочность валы рассчитывают по наибольшей возможной кратковременной нагрузке с учётом динамических и ударных воздействий. Для валов, работающих в условиях кручения и изгиба, продольными усилиями можно пренебречь. В этом случае эквивалентное напряжение в наружном волокне вала
; (9.3)
где sи – максимальное напряжение от изгиба; tк – наибольшее напряжение от кручения. Поскольку sи = Mи / Wи, а tк = Tк / Wк, где Wи и Wк момент сопротивления вала в опасном сечении изгибу и кручению, соответственно, и учитывая, что
(9.4)
после подстановки всех значений в (9.3) получим
. (9.5)
Зная эквивалентные напряжения, можно проверить запас прочности по пределу текучести
, (9.6)
где нормативный запас прочности [n] обычно принимают равным 1,2…1,8.
Опасные сечения (как правило, на прочность исследуются несколько подозрительных сечений), в которых необходимо установить величину запаса прочности, определяются по максимальным изгибающим и крутящим моментам с учётом размеров сечений. Максимальные значения моментов находят после построения эпюр изгибающих и крутящих моментов. При наличии сил, действующих на вал в разных плоскостях, эти силы проецируют на координатные оси и строят эпюры изгибающих моментов в координатных плоскостях, после чего выполняют геометрическое суммирование изгибающих моментов.
Проверочный расчёт на сопротивление усталости проводят по максимальной длительно действующей нагрузке без учёта кратковременных пиковых нагрузок (возникающих, например, во время пуска), слабо влияющих на возникновение усталостных разрушений, поскольку такие нагрузки занимают малое число циклов нагружения. Для каждого опасного сечения, установленного в соответствии с эпюрами изгибающих и крутящих моментов, определяют расчётный коэффициент запаса прочности S и сравнивают его с допускаемым [S] (обычно принимают [S] = 1,2…2,5) по выражению
; (9.7)
где Ss и St - коэффициенты запаса прочности по нормальным и касательным напряжениям соответственно:
(9.8)
где s-1 и t-1 – пределы выносливости для материала вала при симметричном цикле изгиба и кручения; sа и tа – амплитуды изменения напряжений изгиба и кручения; sm и tm – средние значения за цикл тех же напряжений; ys и yt - коэффициенты чувствительности материала вала к асимметрии цикла напряжений (yt» ys / 2; 0,05£ys£ 0,2); KsD и KtD – коэффициенты снижения пределов выносливости по изгибу и кручению, определяемые по формулам:
(9.9)
в которых Ks и Kt - эффективные коэффициенты концентрации напряжений для данного сечения вала в зависимости от его формы, Kd – коэффициент влияния абсолютных размеров поперечного сечения, KF – коэффициент влияния шероховатости поверхности вала (для посадок с натягом KF» 1), Kv – коэффициент, учитывающий упрочнение поверхности (при отсутствии поверхностного упрочнённого слоя Kv» 1). Перечисленные коэффициенты устанавливаются по справочным данным с учётом материала и конструкции рассчитываемого вала.
Пределы выносливости s-1 и t-1 для улучшенных или нормализованных углеродистых и углеродистых легированных сталей с известным пределом прочности sВ, при симметричном цикле изгиба и кручения можно определить по эмпирическим зависимостям
(9.10)
где все значения напряжений в Н/мм2 (МПа).
Амплитудные значения нормальных sа и касательных tа напряжений вычисляют согласно известным выражениям
(9.11)
где smax и smin, tmax и tmin – максимальные и минимальные значения нормальных и касательных напряжений в точках наружных волокон опасного сечения вала, которые, в свою очередь, вычисляются по соответствующим формулам сопротивления материалов
(9.12)
Типичными являются такие условия нагружения, когда напряжения от изгиба валов имеют чисто симметричный характер, то есть максимальный и минимальный изгибающие моменты в данном сечении равны по величине и противоположны по направлению. Для таких условий, а средние напряжения за цикл sm= 0.
Изменения крутящих моментов во время установившейся работы во многих механизмах весьма незначительны и ими (при достаточном запасе прочности) можно пренебречь. Тогда можно принять
tmin = 0, а ta = tm = tmax / 2.
Проверочный расчёт валов на жёсткость чаще всего выполняется по нескольким критериям, поскольку упругие перемещения валов и их элементов оказывают неблагоприятное влияние на работу связанных с валом соединений, подшипников, зубчатых колёс и других деталей – увеличивают концентрацию контактных напряжений и износ, снижают сопротивление усталости деталей и соединений, понижают точность механизмов, увеличивают вибрации и т.п. Наиболее часто при этом виде расчёта определяются: 1) прогиб вала в определённых сечениях (например, под зубчатым или червячным колесом); 2) максимальный прогиб вала; 3) поворот отдельных сечений вала, вызванный его изгибом (чаще всего в местах установки подшипников); 4) закручивание вала под действием рабочих моментов. Исходя из изложенного, получаем следующие критерии жесткости вала:
1. прогиб под элементами зацепления – y £ [y];
2. полная стрела прогиба – f £ [f];
3. угол поворота сечения – q £ [q];
4. удельный угол закручивания вала – j0 £ [j0];
где допустимые значения прогибов и углов составляют:
Предельный прогиб в месте установки зубчатых колёс при модуле зацепления m
o цилиндрических - [y] = 0,01m;
o конических, гипоидных, глобоидных, червячных - [y] = 0,005m;
o полная стрела прогиба - [f] = 3×10-4l, где l - полная длина вала;
o допустимый удельный угол закручивания вала– 0,025 £ [j0] £ 1,0 градус/м в зависимости от конструкции и назначения вала.
Для осей полный прогиб [f]» (2…3)×10-3l, где l - полная длина оси.
Проверку прогиба вала в заданных сечениях наиболее удобно выполнять методом перемножения эпюр Максвелла-Мора (само перемножение эпюр, в котором можно произвести способом Симпсона или способом Верещагина), согласно которому деформация от изгиба в заданном сечении равна
; (9.13)
где M1(s) - изгибающий момент от единичной фиктивной нагрузки, приложенной в исследуемом сечении; Mи(s) - изгибающий момент от реально действующей нагрузки; E - модуль упругости материала вала I - осевой момент инерции сечений вала; s - текущая координата сечений вдоль оси вала.
Если моменты монотонно изменяются на каждом участке по длине вала, а осевой момент инерции сечений вала I можно считать постоянным по его длине, то выражение (9.13) существенно упрощается.
В этом случае по способу Симпсона величина прогиба может быть подсчитана по следующей формуле:
; (9.14)
в которой m и M - ординаты однородных участков (участков, на которых нет изломов и скачков) эпюр от единичной фиктивной и реальной нагрузок, а индексы " Л ", " С " и " Пр " относятся к левому концу, середине и правому концу каждого участка соответственно. Формула Симпсона особенно удобна для определения прогибов валов, эпюры изгибающих моментов которых имеют линейный характер.
А по способу Верещагина при вышеназванных условиях величина прогиба в исследуемом сечении определяется следующим образом:
; (9.15)
в которой А - площади однородных участков эпюр изгибающих моментов, а hc - ординаты второй эпюры под центром тяжести этих площадей.
Рис. 9.8. Схема возникновения поперечной пульсирующей силы |
Расчет валов на колебания. Колебания валов могут быть поперечными (изгибными) и крутильными. Поперечные вызываются наличием несбалансированных масс - маховиков, шкивов, зубчатых колес и т.п. (рис. 9.8). Крутильные колебания возникают вследствие неравномерности вращательного движения валов, связанных с инерционными деталями, механизма.
В простейшем случае, когда вал соединен с одной неуравновешенной вращающейся массой - маховиком (массой и моментом инерции самого вала в этом случае чаще всего можно пренебречь), деформацию вала при вынужденных колебаниях можно представить следующим образом:
. (9.16)
Верхнее равенство относится к изгибным колебаниям, нижнее - к крутильным. В этих равенствах f и j - величина смещения (поперечного или углового) присоединенного маховика; Pа и Ma - возмущающий фактор (сила или момент); m и J - характеристика инерционности (масса или момент инерции маховика) w0и и w0к - частоты собственных изгибных и крутильных колебаний системы, соответственно; wв - частота действия возмущающего фактора. При этом частота собственных колебаний равна корню квадратному из отношения жесткости к характеристике инерции:
. (9.17)
где k - изгибная жесткость вала (величина прогиба от действия единичной поперечной силы), а k - крутильная жесткость вала (величина угла закручивания от действия единичного крутящего момента).
В знаменатель обоих выражений (9.16) входит разность между собственной частотой вала и частотой действия вынуждающего фактора. При совпадении этих двух частот величина деформации устремляется в бесконечность, что эквивалентно разрушению. Явление совпадения вынуждающей и собственной частот называется резонансом. Если вынуждающая частота больше собственной, то, во-первых, деформация меняет знак (то есть по направлению становится противоположной вынуждающему фактору), во-вторых, с увеличением вынуждающей частоты величина деформации становится все меньше. Большинство валов передач работают в зарезонансном режиме (wв >> w0), и в таких случаях при разгоне и торможении машины вал проходит через область резонанса. Длительная работа вала в резонансном режиме ведёт к увеличению его деформаций, а, следовательно, и напряжений в нём, способствуя тем самым быстрому его разрушению. Следовательно, необходимо сокращать время разгона и торможения, чтобы амплитуда колебаний вала не достигла опасной величины.
Материал данной лекции касается элементов передачи, которые не могут в ходе её работы непосредственно влиять на силовые и кинематические параметры передачи. Однако от качества этих элементов – валов и осей в существенной мере зависят качество и работоспособность передачи в целом.
| Вопросы для самоконтроля: |
1. Какие детали машин являются валами, какие – осями?
2. Назовите основные функции, выполняемые валами в механизмах и машинах.
3. Назовите основные разновидности валов и осей по геометрическим характеристикам (геометрическая ось, внешняя форма).
4. Назовите основные конструктивные элементы валов.
5. Какую роль выполняют в валах канавки и поднутрения? Чем они различаются?
6. Что такое галтель и для чего она предназначена?
7. Какие разновидности цапф вы знаете, каковы их достоинства и недостатки?
8. Для чего предназначены пяты валов, какие разновидности пят Вам известны?
9. Как оформляются концы валов, предназначенные для передачи момента другим механизмам?
10. Назовите основные группы материалов, используемых для изготовления валов.
11. Какие требования предъявляются к валам и осям с точки зрения работоспособности механизмов, их содержащих?
12. Назовите основные нагрузочные факторы, учитываемые при расчёте валов.
13. Назовите основные этапы расчёта валов.
14. Почему при проектном расчёте валов занижаются допускаемые напряжения?
15. Каковы основные допущения, принятые при создании расчётной схемы вала?
16. Проанализируйте сходство и различие проверочного расчёта валов на статическую и динамическую (усталостную) прочность вала.
17. Назовите основные критерии жёсткости вала.
18. Какие приёмы применяются при определении прогибов валов?
19. Какие виды колебаний возможны в работающем вале, что является причиной, их вызывающей?
20. При каких условиях проявляются резонансные явления в валах, чем они опасны?
é
Рис. 9.1. Вал редуктора.
Рис. 9.2.Ось барабана лебёдки: а) вращающаяся; б) неподвижная.
Рис. 9.3. Основные элементы вала.
Рис. 9.4. Различные способы оформления переходной части между цилиндрической поверхностью и заплечиком.
Рис. 9.5. Разновидности конфигурации цапф
Рис. 9.6. Некоторые формы пят.
Рис. 9.7. Вал цилиндрической передачи в сборе с шестерней и подшипниками качения
Рис. 9.8. Схема возникновения поперечной пульсирующей силы 





