Вопросы, изложенные в лекции:
1. Общие сведения, условия работы и критерии работоспособности ПК.
2. Подбор, посадки, крепление и смазка ПК.
| Общие сведения, условия работы и критерии работоспособности ПК. |
Предыдущая лекция акцентирована на рассмотрение основных свойств подшипников скольжения и вопросов, касающихся их проектирования. Наряду с подшипниками скольжения в технических устройствах находят широкое применение подшипники, работающие по принципу трения качения – подшипники качения. Рассмотрению конструкции, основных свойств, и основ конструирования узлов с такими подшипниками и посвящена настоящая лекция.
Рис. 11.1. Подшипник качения (конструкция). |
Подшипник качения имеет, как правило, более сложную конструкцию в сравнении с подшипником скольжения и, в подавляющем большинстве случаев, является готовым (то есть изготовленным на специализированном предприятии) изделием, устанавливаемым в механизм или машину без какой-либо дополнительной доработки.
Конструктивно подшипник качения (рис. 11.1), как правило, включает 4 основных элемента: 1) наружное кольцо, обычно устанавливаемое в корпусе, и потому неподвижное; 2) внутреннее кольцо, обычно насаживаемое на цапфу вала, и вращающееся вместе с ней; 3) тела качения (шарики, ролики или другие), обкатывающиеся при работе подшипника по беговым дорожкам наружного и внутреннего колец, и 4) сепаратор, предотвращающий в процессе работы подшипника набегание тел качения друг на друга. В отдельных случаях применяются подшипники, как более простой (например, без одного из колец), так и более сложной (например, с составными кольцами) конструкции.
|
|
|
Подшипники качения широко применяются в стационарных и подвижных машинах многих отраслей машиностроения, в том числе и в МГКМ (многоцелевых гусеничных и колёсных машинах). В силу этого они стандартизованы, выпускаются в массовом количестве на специализированных предприятиях с высокой степенью автоматизации производства, что гарантирует их относительно невысокую стоимость.
Достоинства подшипников качения:
1. малые потери на трение (приведённый к цапфе вала коэффициент трения подшипников качения в зависимости от типа подшипника и других его характеристик составляет f = 1,5×10-3…6×10-3);
2. малые габариты в осевом направлении;
3. низкая стоимость при высокой степени взаимозаменяемости;
4. малый пусковой момент сопротивления, практически одинаковый с моментом, действующим в процессе установившегося движения;
5. малый расход смазочных материалов и, следовательно, малый объём работ по обслуживанию;
6. пониженные требования к материалу и качеству обработки цапф.
|
|
|
Недостатки подшипников качения:
1. высокая чувствительность к ударным и вибрационным нагрузкам вследствие малых площадей контакта между телами качения и беговыми дорожками колец подшипника;
2. большие габариты в радиальном направлении;
3. малая надёжность в высокоскоростных приводах.
Классификация подшипников качения:
Рис. 11.2. Основные формы тел качения, применяемые в подшипниках: а) шарик; ролики - б) цилиндрический; в) конический; г) бочкообразный; д) игольчатый; е) витой |
1. по форме тел качения (рис. 11.2) – шариковые, роликовые с цилиндрическими, коническими или бочкообразными роликами, игольчатые;
2. по количеству рядов тел качения – однорядные, двухрядные, трёх- и более рядные;
3. по направлению воспринимаемой нагрузки – радиальные, предназначенные для восприятия нагрузки, перпендикулярной оси вращения, радиально-упорные (радиальная и осевая нагрузки, причём радиальная нагрузка больше осевой), упорно-радиальные (радиальная и осевая нагрузки, но радиальная нагрузка меньше осевой), упорные (только под осевую нагрузку), комбинированные (радиальная и осевая нагрузки воспринимаются разными телами качения);
4. по самоустанавливаемости – несамоустанавливающиеся и самоустанавливающиеся;
Рис. 11.3. Серии диаметров и ширин подшипников качения: 1) особо лёгкая; 2) лёгкая; 3) лёгкая широкая; 4) средняя; 5) средняя широкая; 6) тяжёлая. |
5. по габаритным размерам (серии диаметров и ширин, рис. 11.3) – особо лёгкая, лёгкая, лёгкая широкая, средняя, средняя широкая, тяжелая серии;
6. по точности изготовления – для подшипников качения стандартом (ГОСТ 520-71) предусмотрены 5 классов точности (Р0, Р6, Р5, Р4, Р2); класс точности указывается перед номером подшипника, при этом буква «Р» может опускаться (Р4-205 или 4-205), а нулевой класс (подшипники общего назначения) может не указываться вообще;
7. по конструктивным особенностям – с защитными шайбами, с упорным бортом на наружном кольце, с канавкой на наружном кольце, с составными кольцами и др.
| ´ | - | ´ | ´ | ´ | ´ | ´ | ´ | ´ | ´ |
| Класс точности | Тире | Серия ширин | Коструктивная разновидность | Тип подшипника | Серия диаметров | Диаметр отверстия / 5 | Специальные буквенные обозначения |
| Рис. 11.4. Схема построения условного обозначения подшипника качения |
Условные обозначения (маркировка, паспорт) подшипников качения (рис. 4) являются в основном цифровыми и наносятся на торцовые поверхности колец. Основное обозначение подшипника может включать от двух до семи цифр (нули на левой стороне обозначения, то есть в начале цифры, не проставляются).
Две последние цифры справа обозначают диаметр отверстия во внутреннем кольце (диаметр цапфы вала), делённый на 5, за исключением следующих четырёх размеров: диаметр отверстия 10 мм обозначается цифрами 00; 12 мм – 01; 15 мм – 02, и 17 мм – 03. Так, например, подшипник с диаметром отверстия внутреннего кольца 20 мм будет иметь две последние цифры обозначения 04, с диаметром 75 мм – 15, с диаметром 495 мм – 99 и т.д. Из этого следует, что для большей части подшипников диаметр отверстия внутреннего кольца изменяется с шагом 5 мм.
Третья цифра справа соответствует серии диаметров наружных колец (наружных диаметров подшипника): сверхлёгкая серия – 8 или 9; особолёгкая – 1; лёгкая – 2; средняя – 3; тяжёлая – 4.
Рис. 11.5. Некоторые типы подшипников качения: верхний ряд – шариковые; нижний ряд– роликовые (тип подшипника указан цифрой). |
Четвёртой цифрой справа обозначается тип подшипника: шариковый радиальный – 0; шариковый сферический – 1; роликовый радиальный – 2; роликовый сферический – 3; игольчатый – 4; роликовый с витыми роликами – 5; шариковый радиально-упорный – 6; роликовый радиально-упорный – 7; шариковый упорный – 8; роликовый упорный – 9.
|
|
|
Пятая и шестая цифры отведены для обозначения конструктивной разновидности подшипника.
Седьмой цифрой обозначается серия ширин (цифры от 0 до 9), лёгкой серии обычно соответствует 0 или 1.
Материалы для изготовления подшипников качения. Кольца подшипников качения и их тела качения (шарики, ролики) изготавливают из специальных высокохромистых легированных сталей (ШХ15, ШХ15СГ, ШХ20СГ, 20ХН4А и др.) с улучшающей термообработкой до HRC 61…67 при неоднородности твёрдости не более 3 HRC для каждого из колец и для всех тел качения. Сепараторы чаще всего выполняют штампованными из стальной (мягкая малоуглеродистая сталь) ленты. Сепараторы скоростных подшипников выполняют из антифрикционных материалов (латуни, бронзы, алюминиевых сплавов, текстолита и некоторых других пластмасс).
| Подбор, посадки, крепление и смазка ПК. |
Подшипники качения могут терять работоспособность по нескольким причинам.
Усталостное выкрашивание - отслаивание (шелушение) частичек металла с рабочих поверхностей и появление на них раковин является, в конечном итоге, следствием циклического нагружения контактных поверхностей тел качения и беговых дорожек колец.
Смятие (пластическая деформация) поверхности тел качения и беговых дорожек на кольцах возникает вследствие чрезмерных статических нагрузок или при действии однократных ударных нагрузок. Характерный признак: для тел качения – нарушение геометрической формы; для колец - наличие на беговых дорожках местных углублений, по форме повторяющих поверхность тел качения (наиболее характерно для внутреннего кольца).
Разрушение тел качения или колец под воздействием чрезмерных ударных нагрузок, возникающих вследствие неправильного монтажа или нарушения правил эксплуатации (раскалывание тел качения или колец, скалывание бортов колец и т.п.).
Абразивное изнашивание происходит при попадании в подшипник частиц высокой твёрдости через нарушенные уплотнительные элементы.
Разрушение сепараторов происходит, как правило, из-за изнашивания их за счёт трения тел качения при недостаточной смазке, от воздействия тел качения на них при наличии центробежных сил большой величины (при больших скоростях вращения) и некоторых других причин.
|
|
|
Внешними признаками потери работоспособности подшипниками качения являются повышенный шум при работе механизма, перегрев подшипникового узла (увеличение потерь мощности в подшипниковом узле), излишние люфты, то есть потеря точности вращения валов. Внешними признаками усталостного выкрашивания являются появление зеркальных частичек в смазочной жидкости, повышенная шумность в процессе работы механизма, чрезмерная вибрация валов при вращении.
Таким образом, в качестве основных критериев работоспособности подшипника качения следует считать износостойкость поверхностей качения, сопротивляемость пластическим деформациям и, в конечном итоге, долговечность подшипника.
Так как подшипники качения в подавляющем большинстве являются стандартизованными изделиями, при разработке подшипникового узла их проектный расчёт заменяется процедурой подбора подшипника.
Выбор подшипника качения (и установление необходимого паспорта подшипника) определяются следующими основными показателями:
1. характером нагрузки (постоянная, переменная, ударная), её величиной и направлением действия;
2. диаметром цапф вала и частотой его вращения;
3. необходимой долговечностью подшипникового узла;
4. нагрузочной способностью подшипника (статическая и динамическая грузоподъёмность).
Долговечность – количество миллионов оборотов (L) одного кольца подшипника относительно другого либо число моточасов работы (Lh) до появления усталостного разрушения.
Поскольку в силу разных причин (различия в прочности исходных материалов, колебания технологических режимов обработки и т.п.) однотипные подшипники качения могут несколько отличаться по долговечности, то в расчётах широко используется понятие базовой долговечности, под которой понимают долговечность большинства из одновременно испытанных подшипников. В общем машиностроении и при стандартных испытаниях подшипников обычно используется 90% базовая долговечность L10 [5], то есть долговечность, которую имеют не менее 90 % участвующих в испытаниях подшипников (90 %-ная надёжность подшипников). При более жёстких требованиях к надёжности подшипникового узла в расчётах используется 95 %-ная базовая долговечность L5, а иногда и 97 %-ная - L3.
Базовая долговечность обеспечивается при базовой динамической грузоподъёмности. Базовая динамическая грузоподъёмность (Cr – радиальная для радиальных и радиально-упорных подшипников, Ca – осевая для упорных и упорно-радиальных) – нагрузка, которую выдерживает подшипник при сохранении базовой долговечности. В стандартах для каждого конкретного подшипника указывается обычно базовая динамическая грузоподъёмность C и предельно допустимая статическая нагрузка C0. Под статической понимается нагрузка, действующая на подшипник при относительной частоте вращения колец до 10 оборотов в минуту.
В реальных механизмах действующие в подшипнике нагрузки часто одновременно имеют как радиальную, так и осевую составляющие, а испытания подшипников производятся, как правило, под действием однонаправленной нагрузки. Поэтому для возможности сравнения долговечности подшипника под действием реальной и испытательной нагрузок введено понятие эквивалентной нагрузки. Эквивалентная динамическая нагрузка - постоянная однонаправленная нагрузка, при которой подшипник имеет такую же долговечность, как и в реальных условиях работы. Использование в расчётах эквивалентной нагрузки позволяет учесть не только характер и направление действующих сил, но и некоторые другие факторы, действующие на подшипниковый узел в реальных условиях его работы. Эквивалентная нагрузка RE подшипника качения может быть вычислена по выражению
; (11.1)
где Fr и Fa – радиальная и осевая составляющие нагрузки, действующей на вращающееся кольцо подшипника, X и Y – коэффициенты влияния радиальной и осевой нагрузок, соответственно; V – коэффициент вращающегося кольца (если относительно действующей нагрузки вращается внутреннее кольцо, то V = 1, если наружное - V = 1,2); КБ – динамический коэффициент безопасности, учитывающий действие динамических перегрузок на долговечность подшипника (для редукторов общего применения КБ = 1,3…1,5); КТ – коэффициент, учитывающий влияние температуры подшипникового узла на долговечность подшипника. При рабочей температуре подшипникового узла t° £ 100 °C, принимают KT = 1, а для температур 100 < t° £ 250 °C температурный коэффициент можно определить по эмпирической зависимости
. (11.2)
Для радиальных подшипников, неспособных воспринимать осевую нагрузку (например, для роликовых цилиндрических), Fa = 0 и X = 1; для упорных – Fr = 0 и Y = 1. Для шариковых радиальных, шариковых и роликовых радиально-упорных (конических) подшипников в стандарте указывается величина «e», зависящая в основном от угла наклона беговой дорожки к оси вращения. Если для внешних сил, действующих на подшипник, Fa / VFr £ e, то X = 1, а Y = 0. В противном случае, когда Fa / VFr > e,X и Y определяются по каталогу для данного типа подшипников.
Рис. 11.6. Схема к определению сил, действующих на радиально-упорные подшипники(пояснения в тексте). |
При нагружении радиально-упорных подшипников радиальной нагрузкой наклон контактной линии между внешним кольцом и телом качения на угол a к торцовой плоскости подшипника вызывает появление горизонтальной составляющей (рис. 11.6, б, сила Si). Для шариковых радиально-упорных подшипников эта сила Si = e×Fri, а для роликовых конических - Si= 0,83×e×Fri. В этом случае осевые составляющие сил, действующих на каждый из подшипников вала, в существенной степени зависят от Si. Так для расчётной схемы, представленной на рис. 11.6, а) S2 совпадает по направлению с внешней осевой нагрузкой Fa, действующей на вал, а S1 направлена ей навстречу. Если при этом суммарная нагрузка Fa + S2 > S1, то Fa1 = Fa + S2, а Fa2 = S2; если же Fa + S2 < S1, то Fa1 = S1, а Fa2 = S2 - Fa.
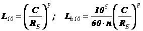
Долговечность подшипника, его базовая динамическая грузоподъёмность и эквивалентная динамическая нагрузка связаны соотношением
; (11.3)
где L10 в миллионах оборотов вращающегося кольца, а Lh10 в моточасах работы подшипника; n – частота вращения подвижного кольца, мин.-1, p – показатель степени кривой усталости; для шариковых подшипников p = 3, для роликовых - p = 10/3.
Обычно в техническом задании на разработку механизма указывается и срок его работоспособности. Принимая долговечность подшипника равной этому сроку (предпочтительный вариант) или при назначении замен подшипников в процессе эксплуатации (вариант с текущим ремонтом) некоторой части этого срока и используя зависимость (11.3), нетрудно установить необходимую динамическую грузоподъёмность подшипника
; (11.4)
где величина p в показателе степени у скобок зависит от типа подшипника (см. выше). По известной требуемой величине грузоподъёмности подшипник может быть выбран из соответствующего каталога, при этом грузоподъёмность выбранного подшипника должна быть не меньше требуемой.
Рис. 11.7. Схема расположения полей допусков для посадочных диаметров подшипника и сопрягаемых с ними поверхностей (вал и корпус) |
Подшипники качения обладают полной взаимозаменяемостью. Присоединительными размерами этих подшипников являются наружный диаметр D, внутренний диаметр d и ширина кольца B. Допуски на изготовление посадочных поверхностей подшипника не совпадают с допусками по квалитетам, установленными для гладких поверхностей.
На рис. 11.7 представлены схемы расположения полей допусков для посадочных диаметров колец подшипника и поля допусков сопрягаемых с ними поверхностей для подшипника класса точности Р0 в соответствие с данными табл. 11.1.
Таблица 11.1 Поля допусков посадочных поверхностей, сопрягаемых с подшипниками качения по ГОСТ 3325
|
Стандартом установлены следующие обозначения полей допусков по классам точности подшипников: для внутренних колец (отверстия) L0, L6, L5, L4, L2; для наружных колец (валы) l0, l6, l5, l4, l2 (рис. 11.7). При этом допуски на отверстия внутренних колец перевернуты относительно нулевой линии, то есть поле допуска расположено не в тело кольца, как это принято для рядовых деталей, а из тела. Вследствие перевернутости поля допуска L все посадки внутреннего кольца сдвигаются в сторону больших натягов - переходные посадки n, m и k становятся посадками с натягом, причем величина натяга в таких посадках несколько меньше по сравнению с нормальными посадками с натягом (от p до zc), а посадки с зазором h переходят в группу переходных посадок (рис. 11.7).
Режим работы подшипника определяется по отношению динамической эквивалентной нагрузки RE к динамической грузоподъемности C: легкий режим - RE/C£ 0,07; нормальный режим - 0,07< RE/C £ 0,15; тяжелый режим - RE/C > 0,15.
При назначении посадок следует учитывать:
1. тип подшипника;
2. частоту вращения;
3. характер (постоянная или переменная по величине и направлению, спокойная или ударная) и величину нагрузки на подшипник;
4. жёсткость вала и корпуса;
5. характер температурных деформаций подшипникового узла (изменение плотности посадки при достижении рабочей температуры);
6. способ креплания подшипника (с затяжкой или без неё);
7. удобство монтажа и разборки подшипникового узла.
Посадки вращающихся колец с натягом предотвращают проворачивание колец на посадочных поверхностях, смятие и фрикционную коррозию этих поверхностей.
Посадки невращающихся колец подшипников с минимальным зазором обеспечивают равномерность износа беговых дорожек на этих кольцах за счёт их чрезвычайно медленного проворачивания в сторону вращения подвижного кольца.
Посадочные поверхности под установку подшипников должны иметь качественную обработку поверхности во избежание смятия и среза местных выступов (шероховатостей) при запрессовке и эксплуатации подшипников. При установке подшипников весьма желательно применение тепловой сборки (нагрев подшипника в масляной ванне с одновременным охлаждением вала твердой углекислотой или жидким азотом), а демонтаж подшипников необходимо выполнять с применением специализированного инструмента (съемников). Применяемая обычно в ремонтном производстве силовая сборка резко снижает срок жизни подшипника из-за взаимного перекоса колец после сборки. Обычно для тяжёлых условий работы назначаются более плотные посадки.
Перед установкой подшипников посадочные поверхности необходимо смазать жидкой или консистентной смазкой.
Вид смазывающего материала и способ его подачи к поверхностям трения зависит от условий работы подшипника (нагрузка, защищённость от действия неблагоприятных факторов внешней среды, возможность и периодичность обслуживания и т.п.) и скорости относительного движения подвижного и неподвижного колец подшипника, которую однозначно характеризует произведение внутреннего диаметра подшипника dп на частоту вращения подвижного кольца n. В первом приближении характер смазки можно выбрать в соответствии с табл. 11.2.
Таблица 11.2. Назначение смазки и, выбор уплотнительных элементов
для разных условий работы подшипников
| dп´n, 106 мм´об/мин | Смазка | Уплотнение |
| £ 0,55 | Консистентная | Сальник, лабиринт |
| £ 0,60 | Жидкая погружением | Резиновая манжета, маслосгонная канавка |
| £ 0,75 | Жидкая фитильная и капельная – 5…10 капель в час. | |
| £ 1,70 | Жидкая масляным туманом | Металлические кольца, полиамидная манжета, центробежное уплотнение |
| > 2,0 | Жидкая струйная под углом 15-20° к оси подшипника, охлаждение потоком масла |
В дельнейшем условия смазки подшипников согласуются с выбранной схемой смазывания агрегата, в котором эти подшипники установлены.
Представленный в настоящей лекции материал показывает, что обеспечить высокую надёжность подшипникового узла с подшипником качения возможно только при обязательном выполнении ряда условий. Качество таких узлов в значительной мере зависит, как от правильности конструкторского решения, так и от точности соблюдения технологического регламента изготовления и сборки подшипникового узла, а также и от соблюдения регламента эксплуатации и обслуживания. Следовательно, знания основных требований к узлам трения такого рода необходимы каждому участнику процесса жизнеобеспечения машин, начиная от конструктора и заканчивая эксплуатационником.
| Вопросы для самоконтроля: |
1. Назовите главную особенность подшипников качения.
2. Назовите основные элементы подшипника качения.
3. Каковы достоинства подшипников качения?
4. Каковы недостатки подшипников качения?
5. Какие основные свойства подшипников качения предопределили их широкое использование в технике?
6. Назовите основные классификационные признаки подшипников качения.
7. Как маркируются подшипники качения? Приведите примеры.
8. Назовите основные группы материалов, используемых для изготовления подшипников качения.
9. Назовите основные виды изнашивания подшипников качения.
10. Назовите основные причины и признаки потери работоспособности подшипниками качения.
11. Что необходимо знать при назначении подшипника качения во вновь проектируемый узел?
12. Как назначить необходимую долговечность подшипника, от каких параметров она зависит?
13. В чём отличие полей допусков посадочных размеров подшипников качения от аналогичных размеров рядовых деталей?
14. Как обозначаются посадки подшипников качения на чертежах?
15. Изложите порядок сборки подшипниковых узлов с подшипниками качения.
é
Рис. 11.1. Подшипник качения (конструкция).
Рис. 11.2. Основные формы тел качения, применяемые в подшипниках: а) шарик; ролики - б) цилиндрический; в) конический; г) бочкообразный; д) игольчатый; е) витой
Рис. 11.3. Серии диаметров и ширин подшипников качения: 1) особо лёгкая; 2) лёгкая; 3) лёгкая широкая; 4) средняя; 5) средняя широкая; 6) тяжёлая.
Рис. 11.5. Некоторые типы подшипников качения: верхний ряд – шариковые; нижний ряд– роликовые (тип подшипника указан цифрой).
Рис. 11.6. Схема к определению сил, действующих на радиально-упорные подшипники(пояснения в тексте).
Рис. 11.7. Схема расположения полей допусков для посадочных диаметров подшипника и сопрягаемых с ними поверхностей (вал и корпус)