Предположим, что плоская пластина изготовлена из неоднородного материала и занимает область R в плоскости Oxy. Пусть плотность пластины в точке (x, y) в области R равна
.
Тогда масса пластины выражается через двойной интеграл в виде
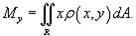
Статический момент пластины относительно оси Ox определяется формулой
Аналогично находится статический момент пластины относительно оси Oy: 
2. Моменты инерции пластины Момент инерции пластины относительно оси Ox выражается формулой 
Аналогично вычисляется момент инерции пластины относительно оси Oy: 






