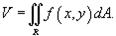
Если f (x,y) > 0 в области интегрирования R, то объем цилиндрического тела с основанием R, ограниченного сверху поверхностью z = f (x,y), выражается формулой 
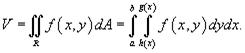
В случае, когда R является областью типа I, ограниченной линиями
, объем тела равен 
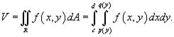
Для области R типа II, ограниченной графиками функций
, объем соответственно равен 
сли в области R выполняется неравенство
, то объем цилиндрического тела между поверхностями z1 = f (x,y) и z2 = g (x,y) с основанием R равен 
3. Площадь поверхности Предположим, что поверхность задана функцией z = f (x,y), имеющей область определения R. Тогда площадь такой поверхности над областью z определяется формулой
при условии, что частные производные
и
непрерывны всюду в области R.
Физические приложения двойных интегралов






