1. Литература
2. Обобщенная модель управления запасами
3. Модель оптимального размера заказа, точка заказа, модель с разрывом цен
4. Модель размера производственного заказа
5. Модель периодической проверки
6. Модели управления запасами при неопределенном спросе
7. Многопродуктовая модель управления запасами
8. Практические вопросы при управлении запасами
9. Решение типовой задачи
1. Литература
Использованная при подготовке курса:
1. Ричард Томас. Количественные методы анализа хозяйственной деятельности/Пер. с англ. - М.: Издательство «Дело и Сервис»,1999. - 432 с.
2. Таха Хамди. Введение в исследование операций. М.: Мир, 1985 Рекомендуется для самостоятельного обучения:
1. Исследование операций в экономике: Учебн. пособие для вузов/ Н.Ш.Кремер, Б.А. Путко и др.; Под ред. проф. Н.Ш.Кремера. - М.: ЮНИТИ, 2000. - 407 с.
2. Обобщенная модель управления запасами
Управление запасами - важная сфера управленческой деятельности на многих предприятиях различных отраслей как по производству товаров, так и по оказанию услуг.
|
|
|
В условиях рыночной экономики становятся особенно актуальными вопросы рациональной и эффективной организации процессов управления и контроля за движением материальных и финансовых потоков на предприятии с целью повышения эффективности материально-технического снабжения самого предприятия и сбыта производимой им готовой продукции. Это необходимо для оптимизации уровня запасов и эффективного их использования, уменьшения их уровня, а также минимизации оборотных средств, вложенных в эти запасы.
Недостаток производственных запасов у предприятия приводит к нарушению ритмичности его производства, снижению производительности труда, перерасходу материальных ресурсов из-за вынужденных нерациональных замен и повышению себестоимости выпускаемой продукции. Недостаток сбытовых запасов не позволяет обеспечить бесперебойный процесс отгрузки готовой продукции, соответственно это уменьшает объемы ее реализации, снижает размер получаемой прибыли и потерю потенциальной клиентуры потребителей продукции, выпускаемой предприятием. В то же время наличие неиспользуемых запасов замедляет оборачиваемость оборотных средств, отвлекает из оборота материальные ресурсы и снижает темпы воспроизводства и ведет к большим издержкам по содержанию самих запасов. Функционирование предприятия при относительно высоком уровне у него запасов будет совершенно не эффективным. В данном случае предприятие имеет у себя по отдельным группам товарно-материальных ценностей запасы больше действительно необходимых их значений - излишние запасы (“пролеживающие”). В связи с этим оно дополнительно должно вложить в них значительные оборотные средства, что приводит соответственно к недостатку свободных финансовых ресурсов - снижению платежеспособности предприятия, невозможности своевременно приобрести необходимые для производства материальные ресурсы, оборудование, рассчитаться с бюджетом и внебюджетными фондами по налогам и по зарплате с персоналом и т.д. Кроме того, высокий уровень излишних запасов приводит к увеличению издержек предприятия по содержанию самих запасов: необходимость иметь большие складские площади, нужно иметь увеличенный персонал (кладовщиков, грузчиков, бухгалтеров) для обработки и учета материалов, находящихся на складе, это дополнительные коммунальные платежи и налоги на имущество. Все это приводит к повышенным расходам на: амортизационные отчисления из-за созданных дополнительных складских помещений для хранения излишних запасов, затраты на зарплату увеличенного бухгалтерского и складского персонала (кладовщиков, грузчиков, обрабатывающих эти запасы), увеличенные коммунальные платежи - на освещение, отопление дополнительных складских помещений и т.д. Дополнительные издержки увеличивают себестоимость готовой продукции, выпускаемой промышленным предприятием, и снижают ее конкурентоспособность на рынке товаров.
|
|
|
Управление запасами включает в себя заказ, хранение и поставку требуемого ресурса. Задача управления запасами возникает, когда необходимо создать запас каких-либо материальных ресурсов с целью удовлетворения спроса на рассматриваемом интервале времени.
Так как затраты, связанные с управлением запасами носят довольно противоречивый характер, то управление запасами становится процедурой поиска оптимума между недостаточным и избыточным запасам с целью получения минимальных затрат.
Существует достаточно много формальных методов управления запасами. Некоторые из них довольно просты с точки зрения проводимых расчетов, другие требуют знания сложных математических приемов и методов, но любая модель управления запасами должна дать ответ всего на 2 вопроса:
• Сколько заказывать?
• Когда заказывать?
Получение ответов на эти вопросы, позволяет сформировать стратегию управления запасами на предприятии.
Из всего многообразия моделей управления запасами можно выделить 2 основных типа: модель оптимального размера заказа и модель периодической проверки. В первом случае стратегия управления запасами предполагает непрерывный контроль за состоянием запасов и размещение одного и того же размера заказа, когда уровень запасов достигнет некоторого минимума, называемого точкой заказа. Этот минимум необходим для бездефицитной работы на период, пока не будет получен новый заказ. Такой период носит название цикла заказа. Вторая стратегия предполагает проверку уровня запасов через равные промежутки времени и размещение заказа, размер которого рассчитывается по результатам проверки с учетом периода времени между проверками и цикла заказа.
Таким образом, решение обобщенной задачи управления запасами определяется следующим образом:
• при периодической проверке за состоянием запаса следует обеспечивать поставку ресурсов в объеме переменного размера заказа через равные интервалы времени;
• в случае непрерывного контроля за состоянием запаса необходимо размещать заказ фиксированного (оптимального) размера, когда уровень запасов достигнет точки заказа.
Размер заказа обычно определяется из условия минимизации суммарных затрат рассматриваемой системы управления запасами:
z = ЗнП + ЗнО + ЗнХ + ПД
Все затраты рассчитываются за определенный промежуток времени.
Затраты на приобретение (ЗнП) представляют собой произведение цены ресурса на количество, необходимое для потребления на рассматриваемом промежутке времени. Эти затраты могут не зависеть от размера заказа, т.е. быть постоянными на рассматриваемом периоде времени, а могут меняться, если цена ресурса, зависит от размера заказа.
|
|
|
Затраты на оформление заказа (ЗнО) - это расходы, связанные с размещением заказа. Их также называют затратами на подготовку заказа. Считается, что они не зависят от размера заказа и относятся к постоянным издержкам (условно-постоянным). В качестве затрат на оформление заказа могут выступать административные расходы по составлению и отсылке заказа, фиксированная плата за упаковку, транспортировку и доставку товаров. Очевидно, что чем чаще размещаются заказы (или чем меньше размер заказа), тем больше затраты на оформление заказа (за рассматриваемый период).
Затраты на хранение запасов (ЗнХ) представляют собой расходы на содержание запасов на складе (расходы на рабочую силу, арендную плату или налог на землю и недвижимость, отопление, освещение и т.п.). Такие затраты обычно указываются в сумме издержек на единицу товара за определенный период времени. Отсюда можно сделать вывод, что затраты на хранение растут с увеличением размера заказа.
Потери от дефицита (ПД) - это расходы, обусловленные отсутствием запасов. Обычно они связаны с ухудшением репутации поставщика у потребителя и с потенциальными потерями прибыли. Иногда предприятию приходится увеличивать расходы на приобретение, чтобы избежать дефицита и не потерять клиентов. Оценка потерь от дефицита - субъективный показатель, особенно когда оценивается стоимость потери доли рынка потребителей и возможное снижение дохода в будущем.
Оценив поведение приведенных выше затрат в зависимости от изменения размера заказа, можно сделать вывод, что существует некая оптимальная точка (размер заказа), минимизирующая суммарные затраты, связанные с управлением запасами.
Самая простая модель управления запасами строится на допущении, что спрос за период - величина известная и к тому же постоянная. На практике такие случаи встречаются довольно редко. Чаще всего спрос на ресурс носит неопределенный характер, что значительно усложняет его оценку для выбора стратегии управления запасами.
|
|
|
Неопределенность спроса заменяют на некоторую вероятностную оценку, задаваемую либо плотностью распределения его вероятности, либо законом распределения вероятности спроса.
Схема классификации спроса может быть выражена следующим образом:

Наиболее точно характер спроса может быть рассмотрен с помощью вероятностных нестационарных распределений. Однако с математической точки зрения модель значительно усложняется, особенно если исследуется достаточно большой промежуток времени. В таком случае, рассматриваемый период времени делится на несколько отрезков, в которых распределение спроса стационарно.
Предложенная классификация представляет собой, по существу, отображение различных уровней абстракции описания спроса.
На первом уровне предполагается, что распределение вероятностей спроса стационарно во времени. Это означает, что для описания спроса в течение всех исследуемых периодов времени используется одна и та же функция распределения вероятностей. При таком предположении влияние сезонных колебаний спроса в модели не учитывается.
На втором уровне абстракции учитывается изменение спроса от одного периода к другому. Однако при этом функции распределения не применяются, а потребности в каждом периоде описываются средней величиной спроса. Это упрощение означает, что элемент риска при управлении запасами не учитывается, но зато исследуются сезонные колебания спроса, которые вследствие аналитических и вычислительных трудностей нельзя учесть в вероятностной модели. Т.е. перед нами компромисс: можно использовать с одной стороны, стационарные распределения вероятностей, а с другой стороны - переменную, но известную функцию спроса при допущении определенности.
На третьем уровне упрощения исключаются как элементы риска, так и изменение спроса. Тем самым спрос в течение любого периода на всем рассматриваемом промежутке времени предполагается равным среднему значению известного (по предположению) спроса. В результате этого предположения спрос можно оценить его постоянной интенсивностью.
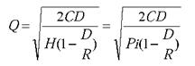
3. Модель оптимального размера заказа, точка заказа, модель с разрывом цен Самая простая и самая известная модель управления запасами. При ее использовании учитываются следующие допущения:
• спрос (D) за рассматриваемый период времени постоянен;
• цена приобретения (P) постоянна;
• расходы на хранение (H) определяются как установленная сумма издержек на единицу товара, т.е. H – затраты на хранение единицы продукции. Они могут например, указываться в долях или процентах от цены приобретения товара, т.е. H=P∙i, где i – коэффициент затратности на хранение.
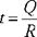
Другие обозначения: С – затраты на размещение одного заказа, Q – размер заказа, t – период времени между заказами; L – цикл заказа, PL – точка заказа, z – суммарные затраты по управлению запасами.
Оптимальный размер заказа рассчитывается по формуле:

Точка заказа будет равна:

Время между заказами:

Периодичность размещения заказов - обратная величина времени, между заказами.
Так как спрос и цена в данной модели постоянны, то с точки зрения оптимизации суммарных затрат на управление запасами они не представляют никакого интереса. В данной модели оцениваются только затраты на оформление заказа и затраты на хранение:

Интерес с точки зрения реальных ситуаций при управлении запасами представляет так называемая «модель с разрывом цен», в которой предполагается наличие скидок при заказе партий определенного размера. В этой модели затраты на приобретение являются составной частью модели и подлежат обязательной оценке. В случае если размер заказа, при котором предоставляется скидка, меньше чем оптимальный, выгоднее размещать оптимальный размер заказа. В другом случае, для определения оптимальной стратегии необходимо оценить затраты при оптимальном размере заказа и затраты при размере заказа со скидкой и выбрать вариант с минимальными затратами.
4. Модель размера производственного заказа
До сих пор рассматривались модели пополнения запасов из внешних источников. Если в качестве запаса рассматривать, например, комплектующие для сборки, то держатель запасов может быть одновременно и их поставщиком. Таким образом, при поступлении заказа начинается изготовление требуемых ресурсов и уровень запасов растет постепенно, по мере их изготовления. Одновременно с производством осуществляется и потребление ресурса. При достижении уровня запасов некоторой максимальной величины производство останавливается и начинается период простоя, когда расходуются произведенные запасы.
Используемые переменные:
• D - спрос за период времени;
• P - цена производства единицы продукции;
• C - затраты на наладку производства (аналогичные затратам на оформление заказа);
• H - затраты на хранение единицы запаса;
• i - коэффициент затратности на хранение;
• R - норма выработки за период времени;
• T - период между двумя производственными циклами;
• t - время одного производственного цикла;
• L - цикл заказа, т.е. время, необходимое на наладку производства;
• PL - точка заказа;
• Q - размер производственного заказа.
Необходимо отметить, что данная модель применима только в случае, если норма выработки ресурса превышает спрос за аналогичный период (R>D).

Тогда время производства будет равным:

Время между началами двух циклов производства рассчитывается следующим образом:

Тогда оптимальный размер производственного заказа рассчитывается по формуле:
Точка заказа зависит от величины цикла заказа и времени простоя производства. Если цикл заказа меньше времени простоя, то точка заказа рассчитывается по формуле:
PL = LD - при L < T -1.
В случае если наладка следующего цикла производства начинается еще во время работы предыдущего цикла, точка заказа рассчитывается по формуле:
PL = (R- D)(T - L) - при L > T -1.
5. Модель периодической проверки
Модели периодической проверки используются при управлении запасами, не имеющими принципиального значения для нормального функционирования предприятия и (или), когда нет возможности проводить постоянный контроль за состоянием запасов.
При этом уровень запасов проверяется через установленные промежутки времени (период проверки - 1) и тогда же производится размещение заказа на требуемое количество ресурса (переменный размер заказа при фиксированных промежутках времени).
В таком случае модель периодической проверки автоматически дает ответ на один из вопросов стратегии управления запасами: когда заказывать.
Чтобы определить размер заказа, рассчитывается уровень пополнения запасов.
Уровнем пополнения (УП) запасов называется уровень запасов, необходимый для покрытия спроса в период проверки и цикла заказа.
Таким образом, исходя из значения спроса, нужно определить потребности в ресурсе на период пополнения запасов (T):
T = 1 + L
Рассчитав уровень пополнения, и проведя проверку наличных запасов (НЗ), определяют размер заказа (РЗ), как разницу между уровнем пополнения и наличными запасами:
РЗ = УП - НЗ
6. Модели управления запасами при неопределенном спросе
Как уже отмечалось выше, при неопределенном спросе, производятся предположения о соответствии спроса некоторому известному распределению вероятности. Наиболее часто в экономической сфере применяется нормальное, дискретное, равномерное, пуассоновское распределения.
Наиболее значимыми затратами при неопределенном характере спроса могут стать потери от дефицита.