Разделенные разности первого порядка 
Разделенные разности второго порядка
и т.д.
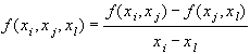
Разделенные разности
- го порядка:
(14)
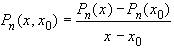
Пусть
многочлен степени
. Разность
обращается в нуль при
, следовательно, она делится на
. Тогда разделенная разность первого порядка
- многочлен степени
относительно
(и относительно
, так как выражение симметрично относительно
и
).
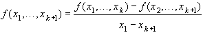
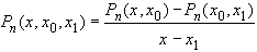
Разность
обращается в нуль при
, поэтому, разделенная разность второго порядка
- многочлен степени
.
Аналогично,
- многочлен степени
и т.д.
Разделенная разность порядка n:
- многочлен нулевой степени.
Разделенные разности более высокого порядка обращаются в нуль.
Значение
от
не зависит, тогда 
Из определения разделенных разностей следует:

и т.д.
Отсюда получаем формулу для
:
(15)
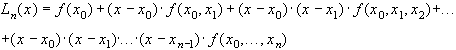
Разделенные разности в соответствии с рекуррентной формулой (14) выражаются через значения многочлена в узлах
. Если
- узлы интерполяции,
- значения интерполируемой функции в этих узлах, то они однозначно определяют интерполяционный многочлен степени
, значения которого в узлах совпадают с
. Тогда разделенные разности многочлена
совпадают с разделенными разностями функции
. Поэтому интерполяционный многочлен можно записать в форме:
(16)
Эта форма называется интерполяционным многочленом Ньютона с разделенными разностями.
Формула (17) более удобна для вычисления, чем запись интерполяционного многочлена в форме Лагранжа, т.к. добавление новых узлов интерполяции влечет вычисление только новых слагаемых, добавляемых к тому, что было вычислено с меньшим числом узлов. При использовании формы Лагранжа в этой ситуации требуется выполнять все вычисления заново.
[О комплексе|Теория|Практикум|Справочник по MathCAD'у|Об авторах]
[Home|Кафедра|ПетрГУ] 3.4. Численное дифференцирование.
Каждая из рассмотренных ранее интерполяционных формул может быть использована для приближенного нахождения значений производных функции
.






