Под потерей фазы понимают однофазный режим работы электродвигателя в результате отключения питания по одному из проводов трехфазной системы.
Причинами потери фазы электродвигателем могут быть:
- обрыв одного из проводов,
- сгорание одного из предохранителей;
- нарушение контакта в одной из фаз.
В зависимости от обстоятельств, при которых произошла потеря фазы, могут быть разные режимы работы электродвигателя и последствия, сопутствующие этим режимам.
При этом следует принимать во внимание следующие факторы:
- схему соединения обмоток электродвигателя ("звезда" или "треугольник"),
- рабочее состояние двигателя в момент потери фазы (потеря фазы может произойти до или после включения двигателя, во время работы под нагрузкой),
- степень загрузки двигателя и механическую характеристику рабочей машины, число электродвигателей, работающих при потере фазы, и их взаимное влияние.
Здесь следует обратить внимание на особенность рассматриваемого режима. В трехфазном режиме каждая фаза обмотки обтекается током, сдвинутым во времени на одну треть периода. При потере фазы две обмотки обтекаются одним и тем же током, в третьей фазе ток отсутствует.
Несмотря на то, что концы обмоток присоединены к двумя фазным проводам трехфазной системы, токи в обеих обмотках совпадают по времени. Такой режим работы называется однофазным.
Магнитное поле, образованное однофазным током, в отличие от вращающегося поля, образованного трехфазной системой токов, является пульсирующим. Оно изменяется во времени, но не перемещается по окружности статора. На рисунке 1, а показан вектор магнитного потока, создаваемого в двигателе при однофазном режиме. Этот вектор не вращается, а лишь изменяется по величине и знаку. Круговое поле сплющивается до прямой линии.

Рис. 1. Характеристики асинхронного двигателя в однофазном режиме:
а — графическое изображение пульсирующего магнитного поля;
б — разложение пульсирующего поля на два вращающихся;
в — механические характеристики асинхронного двигателя в трехфазном (1) и однофазном (2) режимах работы.
Пульсирующее магнитное поле можно рассматривать состоящим из двух вращающихся навстречу друг другу равных по величине полей (рис. 1, б). Каждое поле взаимодействует с обмоткой ротора и образует вращающий момент. Их суммарное действие создает вращающий момент на валу двигателя.
В том случае, когда потеря фазы произошла до включения двигателя в сеть, на неподвижный ротор действуют два магнитных поля, которые образуют два противоположных по знаку, но равных по величине момента. Их сумма будет равна нулю. Поэтому при пуске двигателя в однофазном режиме он не может развернуться даже при отсутствии нагрузки на валу.
Если потеря фазы произошла в то время, когда ротор двигателя вращался, то на его валу образуется вращающий момент. Это можно объяснить следующим образом. Вращающийся ротор по разному взаимодействует с вращающимися навстречу друг другу полями. Одно из них, вращение которого совпадает с вращением ротора, образует положительный (совпадающий по направлению) момент, другое — отрицательный. В отличие от случая с неподвижным ротором эти моменты будут разными по величине. Их разность будет равна моменту на валу двигателя.
На рисунке 1, в показана механическая характеристика двигателя в однофазном и трехфазном режимах работы. При нулевой скорости момент равен нулю, при появлении вращения в любую сторону на валу двигателя возникает момент.
Если отключение одной из фаз произошло во время работы двигателя, когда его скорость была близка к номинальному значению, вращающий момент часто бывает достаточным для продолжения работы с небольшим снижением скорости. В отличие от трехфазного симметричного режима появляется характерное гудение. В остальном внешние проявления аварийного режима не наблюдаются. Человек, не имеющий опыта работы с асинхронными двигателями, может не заметить изменения характера работы электродвигателя.
Переход электродвигателя в однофазный режим сопровождается перераспределением токов и напряжений между фазами. Если обмотки двигателя соединены по схеме "звезда", то после потери фазы образуется схема, показанная на рисунке 2. Две последовательно соединенные обмотки двигателя оказываются включенными на линейное напряжение Uаb, двигатель при этом оказывается в однофазном режиме работы.
Сделаем небольшой расчет, определим токи, протекающие по обмоткам двигателя и сравним их с токами при трехфазном питании.

Рис. 2. Соединение обмоток двигателя по схеме "звезда" после потерн фазы
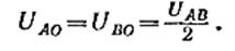
Так как сопротивления Zа и Zв соединены последовательно, напряжения на фазах А и В будут равны половине линейного:

Приближенно величину тока можно определить исходя из следующих соображений.
Пусковой ток фазы А при потере фазы:

Пусковой ток фазы А при трехфазном режиме:

где Uao — фазовое напряжение сети.
Отношение пусковых токов:

из соотношения следует, что при потере фазы пусковой ток составляет 86% от величины пускового тока при трехфазном питании. Если учесть, что пусковой ток короткозамкнутого асинхронного двигателя в 6 - 7 раз больше номинального, то получается, что по обмоткам двигателя протекает ток
Iiф = 0,86 х 6 = 5,16 Iн,
т. е. в пять с лишним раз превышающий номинальный. За короткий промежуток времени такой ток перегреет обмотку.
Из приведенного расчета видно, что рассматриваемый режим работы весьма опасен для двигателя и в случае его возникновения защита должна отключить с незначительной выдержкой времени.
Потеря фазы может произойти и после включения двигателя, когда его ротор будет иметь скорость вращения, соответствующую рабочему режиму. Рассмотрим токи и напряжения обмоток в случае перехода в однофазный режим при вращающемся роторе.
Величина Za зависит от скорости вращения. При пуске, когда скорость вращения ротора равна нулю, она одинакова как для трехфазного, так и для однофазного режима. В рабочем режиме в зависимости от нагрузки и механической характеристики двигателя скорость вращения может быть разной. Поэтому для анализа токовых нагрузок необходим другой подход.
Будем считать, что как в трехфазном, так и в однофазном режиме двигатель развивает. одинаковую мощность. Независимо от схемы включения электродвигателя рабочая машина требует ту же самую мощность, которая необходима для выполнения технологического процесса.
Полагая мощности на валу двигателя равными для обоих режимов, будем иметь:
- при трехфазном режиме
- при однофазном режиме

где Ua — фазовое напряжение сети;
Uao — напряжение на фазе А в однофазном режиме,
cos φ3 и cos φ1 — коэффициенты мощности при трехфазном и однофазном режимах соответственно.
Опыты с асинхронным двигателем показывают, что фактически ток возрастает почти вдвое. С некоторым запасом можно считать
I1a / I2a = 2.
Для того чтобы судить о степени опасности однофазного режима работы, нужно также знать загрузку двигателя.
В первом приближении будем считать ток электродвигателя в трехфазном режиме пропорциональным его нагрузке на валу. Такое допущение справедливо при нагрузках более 50% от номинального значения. Тогда можно написать
Iф = Kз х Iн,
где Kз — коэффициент загрузки двигателя,
Iн — номинальный ток двигателя.
Ток при однофазном режиме:
I1ф = 2Kзх Iн,
т. е. ток при однофазном режиме будет зависеть от загрузки двигателя. При номинальной нагрузке он равен двойному номинальному току. При нагрузке менее 50% потеря фазы при соединении обмоток двигателя в "звезду" не создает опасного для обмоток превышения тока. В большинстве случаев коэффициент загрузки двигателя меньше единицы. При его значениях порядка 0,6-0,75 следует ожидать небольшого превышения тока (на 20-50%) по сравнению с номинальным. Это существенно для работы защиты, так как именно в этой области перегрузок она действует недостаточно четко.
Для анализа некоторых способов защиты необходимо знать напряжение на фазах двигателя. При заторможенном роторе напряжение на фазах А и В будет равно половине линейного напряжения Uab, а напряжение на фазе С будет равно нулю.
Иначе распределяется напряжение при вращающемся роторе. Дело в том, что его вращение сопровождается образованием вращающегося магнитного поля, которое, действуя на обмотки статора, наводит в них электродвижущую силу. Величина и фаза этой электродвижущей силы таковы, что при скорости вращения, близкой к синхронной, на обмотках восстанавливается симметричная система трехфазного напряжения, а напряжение нейтрали звезды (точка 0) становится равным нулю.
Таким образом, при изменении скорости вращения ротора от нуля до синхронной в однофазном режиме работы напряжение на фазах А и В изменяется от значения, равного половине линейного, до значения, равного фазовому напряжению сети. Например, в системе напряжения 380/220 В напряжение на фазах А и В изменяется в пределах 190 - 220 В. Напряжение Uco изменяется от нуля при заторможенном роторе до фазового напряжения 220 В при синхронной скорости. Что же касается напряжения в точке 0, то оно изменяется от значения Uab/2 - до нуля при синхронной скорости.

Рис. 3. Соединение обмоток электродвигателя по схеме "треугольник" после потери фазы
Если обмотки двигателя соединены по схеме "треугольник", то после потери фазы мы будем иметь схему соединений, показанную на рисунке 3. В этом случае обмотка двигателя с сопротивлением Zab оказывается включенной на линейное напряжение Uab, а обмотка с сопротивлениями Zfc и Zbc — соединенной последовательно и включенной на то же самое линейное напряжение.
В пусковом режиме по обмоткам АВ будет протекать такой же ток, как и при трехфазном варианте, а по обмоткам АС и ВС будет протекать ток в два раза меньший, так как эти обмотки соединены последовательно.
Токи в линейных проводах I'a=I'b будут равны сумме токов в параллельных ветвях:
I'А = I'ab + I'bc = 1,5 Iab
Таким образом, в рассматриваемом случае при потере фазы пусковой ток в одной из фаз будет равен пусковому току при трехфазном питании, а линейный ток возрастает менее интенсивно.
Для расчета токов в случае потери фазы после включения двигателя в работу применим тот же метод, что и для схемы "звезда". Будем считать, что как в трехфазном, так и в однофазном режимах двигатель развивает одинаковую мощность.
В этом режиме работы ток в наиболее нагруженной фазе при потере фазы увеличивается вдвое по сравнению с током при трехфазном питании. Ток в линейном проводе будет равен I'А = 3Iab, а при трехфазном питании Ia = 1,73 Iab.
Здесь важно отметить, что в то время как фазовый ток возрастает в 2 раза, линейный ток увеличивается только в 1,73 раза. Это существенно, так как токовая защита реагирует на линейные токи. Расчеты и выводы относительно влияния коэффициента загрузки на ток однофазного режима при соединении "звезда" остаются в силе и для случая схемы "треугольник".
Напряжения на фазах АС и ВС будут зависеть от скорости вращения ротора. При заторможенном роторе Uac' = Ubc' = Uab/2
При скорости вращения, равной синхронной, восстанавливается симметричная система напряжений, т. е. Uac' = Ubc' = Uab.
Таким образом, напряжения на фазах АС и ВС при изменениях скорости вращения от нуля до синхронной будут меняться от значения, равного половине линейного, до значения, равного линейному напряжению.
Токи и напряжения на фазах двигателя при однофазном режиме зависят также и от числа двигателей.
Часто обрыв фазы происходит из-за перегорания одного из предохранителей на питающем фидере подстанции или распределительного устройства. В результате в однофазном режиме оказывается группа потребителей, взаимно влияющих друг на друга. Распределение токов и напряжений зависит от мощности отдельных двигателей и их нагрузки. Здесь возможны различные варианты. Если мощности электродвигателей равны, а их нагрузка одинакова (например, группа вытяжных вентиляторов), то всю группу двигателей можно заменить одним эквивалентным.
Несимметрия напряжения. Несимметричную систему трехфазных напряжений можно разложить на симметричные составляющие прямой, обратной и нулевой последовательности (см. гл. 2) и проанализировать влияние каждой из них на работу двигателя. ГОСТ допускает несимметрию напряжения (отношение напряжения обратной последовательности к номинальному напряжению) до 2%.
Система напряжений обратной последовательности создает магнитное поле, вращающееся в противоположную относительно ротора сторону с частотой вращения
nобр = 60f1 р = |n1 |.
Вследствие этого скольжение ротора относительно обратного поля sобр = (n1 - n2)/n1 = [n1 + n1 (1 - s)]/n1 ≈ 2,
так как скольжение асинхронного двигателя в установившемся режиме
s ≈ (0,01 ÷ 0,05).
Следовательно, обратное поле создает тормозящий момент Мобр, а токи обратной последовательности создают дополнительные потери, увеличивающие нагревание обмоток и снижающие КПД.

Рис. 4. Зависимости моментов асинхронного двигателя от скольжения.
На рис. 4 показана зависимость моментов асинхронного двигателя от скольжения. Из нее следует, что под влиянием токов обратной последовательности результирующий момент двигателя Мрез снижается и скольжение при том же нагрузочном моменте Мн на валу возрастает.

Рис. 5. Зависимости КПД от асимметрии напряжения для одного из двигателей общего применения мощностью 5,5 кВт.
На рис. 5 показаны зависимости КПД от асимметрии напряжения для одного из двигателей общего применения мощностью 5,5 кВт. При несимметрии напряжения 2% КПД снижается примерно на 2%, а при 4% почти на 5,5%. Следовательно, несимметрия питающего напряжения крайне нежелательна.
Обрыв фазы обмотки статора. При пуске трехфазного асинхронного двигателя с оборванной фазой создаются такие условия, как и в однофазном двигателе (см. § 4.17), т. е. его результирующий момент Мрез = Мпр — Мобр = 0. Если ротор двигателя в момент обрыва находится во вращении, то Мпр > Мо6р и при Мрез > Мн двигатель продолжает вращаться, однако максимальный момент Мmax оказывается существенно меньшим, чем при неповрежденной фазе. При переходе двигателя в однофазный режим частота вращения практически не изменяется, поэтому мощность на валу также остается приблизительно одинаковой.
Но отношение токов в этих режимах:
I1 /I3 = (3η3 cos φ3)/(2η1 cos φ1),
где индекс 1 относится к однофазному режиму, а 3 — к трехфазному. Поэтому при условии
η1 = η3 и cos φ1 = cos φ3
ток I1 в однофазном режиме в 1,5 раза больше, чем в трехфазном. В действительности КПД и cos φ в однофазном режиме уменьшаются по сравнению с трехфазным, вследствие чего ток I1 возрастает в еще большей степени. Если двигатель работает при нагрузке, близкой к номинальной, то при обрыве фазы его ток становится значительно больше номинального и двигатель быстро перегревается и «выходит из строя».

Рис. 6. Зависимости моментов асинхронного двигателя от скольжения при обрыве фазы обмотки ротора
Обрыв фазы обмотки ротора. При несимметрии сопротивлений фаз ротора возникает эффект одноосного демпфирования. В результате этого кривая момента двигателя в области s = 0,5 имеет провал. Значение этого провала может оказаться настолько большим, что двигатель при пуске под нагрузкой не достигает номинальной частоты вращения и «застревает» при n2 ≈ 0,5п1. При обрыве одной из фаз ротора электромагнитный момент в области s = 0,5 отрицательный (рис. 6), вследствие чего двигатель не разгоняется до номинальной частоты вращения даже при пуске без нагрузки.
Работа электродвигателей в неполнофазном режиме в большинстве случаев заканчивается выходом их из строя. Этот аварийный режим работы, возникающий при обрыве или отгорании одной из питающих фаз, характеризуется большим увеличением тока потребления других статорных обмоток, что является причиной их перегрева и межвиткового пробоя, вследствие повреждения изоляции.
Нередко, выход из строя 3х-фазных электродвигателей по причине их эксплуатации в неполнофазном режиме, связан с возникновением последнего, именно во время работы двигателя - когда частота вращения его вала достигла номинального значения.
Так, асинхронный двигатель, мощностью более 1 кВт, включенный в сеть с одной отсутствующей “фазой”, просто не запустится - что будет, наверняка, визуально заметно и явится причиной для проверки питающих фазных напряжений.
В случае-же, возникновения неполнофазности электропитания находящегося в работе двигателя, последний продолжит вращение и единственным внешним признаком неполадок питания можеть быть лишь изменившийся шум, издаваемый электромотором и обнаружить "на слух" неисправность не всегда представляется возможным, даже опытному обслуживащему персоналу.

Преимущество предложенной схемы защиты состоит, прежде всего, в простоте ее реализации; состоящая из 2х магнитных пускателей, она не уступает в надежности своим электронным аналогам.
Отключение питания электродвигателя при возникновении его неполнофазности во время пуска или во время работы в данной схеме обеспечивается отсутствием управляющего напряжения в цепи питания катушки магнитного пускателя KM1.
Без фазного напряжения L1 или L2 не невозможно срабатывание KM2, через один из главных контактов которого (вместо него может быть задействован нормально разомкнутый блок-контакт) подается питание на KM1 (“фаза” L3).
Таким образом, отсутствие или исчезновение любой из питающих фаз в сети гарантированно исключит возможность срабатывания KM1 или вернет главные контакты этого пускателя в исходное разомкнутое состояние, отключив двигатель - если одна из “фаз” пропала во время его работы.
Обязательным условием схемы является использование в ней, по крайней мере, одного из магнитных пускателей с катушкой, рабочее напряжение которой составляет 380 В. Это позволит контролировать наличие двух фазных напряжений в сети. Напряжение питания катушки второго пускателя может 220 В. (его для контроля третьей “фазы” будет достаточно) или 380 В.
Защита электродвигателя от неполнофазных режимов
Требования ПУЭ к защите от неполнофазных режимов
Как известно, неполнофазные режимы работы трехфазных электродвигателей приводит к недопустимому разогреву зубцов ротора, пазовых клиньев и бандажных колец.
Согласно требованиям ПУЭ для электродвигателей, которые защищены от токов КЗ предохранителями, не имеющими вспомогательных контактов для сигнализации об их перегорании, должна быть предусмотрена защита от перегрузки в двух фазах.
Защиту от неполнофазного режима рекомендуется применять для всех двигателей в связи с возможностью обрыва фазы на линии внешнего электроснабжения.
Защита от неполнофазных режимов в терминалах БМРЗ
При работе электродвигателя в неполнофазном режиме значения токов прямой и обратной последовательности равны, а ток в каждой из двух рабочих фаз в этом режиме составляет от 1,6 до 2,5
.
Защита от неполнофазных режимов срабатывает при выполнении двух условий:
· токи в двух фазах питания двигателя превышают 1,6 Iном.дв;
· значение тока обратной последовательности превышает 30% от тока прямой последовательности.
Время срабатывания защиты на отключение электродвигателя выбирают из диапазона от 0,5 с до 1 с и отстраивают от времени ликвидации неполнофазного режима системами защиты и автоматики внешнего электроснабжения.
В терминалах БМРЗ-ДА и БМРЗ-ДД значение тока
определяется по значениям фазных токов. Для использования защиты от неполнофазных режимов, предусмотренных в этих терминалах, необходимо наличие ТТ в каждой фазе питания двигателя.
В терминалах БМРЗ-УЗД и БМРЗ-ДВА предусмотрена возможность вычисления тока
по токам двух фаз и току
. Таким образом, защиту от неполнофазного режима в этих терминалах можно реализовать при наличии ТТ в двух фазах питания двигателя.
Если значение тока
превышает 30% от тока прямой последовательности, а значения фазных токов электродвигателя не превышают 1,6 Iном.дв, то это свидетельствует о наличии нарушений во вторичных токовых цепях ТТ.
Симметричная трехфазная система напряжений характеризуется одинаковыми по модулю и фазе напряжениями во всех трех фазах. При несимметричных режимах напряжения в разных фазах не равны.
Несимметричные режимы в электрических сетях возникают по следующим причинам:
1) неодинаковые нагрузки в различных фазах,
2) неполнофазная работа линий или других элементов в сети,
3) различные параметры линий в разных фазах.
Наиболее часто несимметрия напряжений возникает из-за неравенства нагрузок фаз. В городских и сельских сетях 0,38 кВ несимметрия напряжений вызывается в основном подключением однофазных осветительных и бытовых электроприемников малой мощности. Количество таких однофазных ЭП велико, и их нужно равномерно распределять по фазам для уменьшения несимметрии.
В сетях высокого напряжения несимметрия вызывается, как правило, наличием мощных однофазных электроприемников, а в ряде случаев и трехфазных электроприемников с неодинаковым потреблением в фазах. К последним относятся дуговые сталеплавильные печи. Основные источники несимметрии в промышленных сетях 0,38-10 кВ — это однофазные термические установки, руднотермические печи, индукционные плавильные печи, печи сопротивления и различные нагревательные установки. Кроме того, несимметричные электроприемники — это сварочные аппараты различной мощности. Тяговые подстанции электрифицированного на переменном токе железнодорожного транспорта являются мощным источником несимметрии, так как электровозы — однофазные электроприемники. Мощность отдельных однофазных электроприемников в настоящее время достигает нескольких мегаватт.
Различают два вида несимметрии: систематическую и вероятностную, или случайную. Систематическая несимметрия обусловлена неравномерной постоянной перегрузкой одной из фаз, вероятностная несимметрия соответствует непостоянным нагрузкам, при которых в разное время перегружаются разные фазы в зависимости от случайных факторов (перемежающаяся несимметрия).
Неполнофазная работа элементов сети вызывается кратковременным отключением одной или двух фаз при коротких замыканиях либо более длительным отключением при пофазных ремонтах. Одиночную линию можно оборудовать устройствами пофазного управления, которые отключают поврежденную фазу линии в тех случаях, когда действие АПВ оказывается неуспешным из-за устойчивого короткого замыкания.
В подавляющем большинстве устойчивые короткие замыкания однофазные. При этом отключение поврежденной фазы приводит к сохранению двух других фаз линии в работе.
В сети с заземленной нейтралью электроснабжение по неполнофазной линии может оказаться допустимым и позволяет отказаться от строительства второй цепи линии. Неполнофазные режимы могут возникать и при отключении трансформаторов.
В некоторых случаях для группы, составленной из однофазных трансформаторов, при аварийном отключении одной фазы может оказаться допустимым электроснабжение по двум фазам. В этом случае не требуется установка резервной фазы, особенно при наличии двух групп однофазных трансформаторов на подстанции.
Неравенство параметров линий по фазам имеет место, например, при отсутствии транспозиции на линиях или удлиненных ее циклах. Транспозиционные опоры ненадежны и являются источниками аварий. Уменьшение числа транспозиционных опор на линии уменьшает ее повреждаемость и повышает надежность. В этом случае ухудшается выравнивание параметров фаз линии, для которого обычно и при-меняется транспозиция.






