| Получить формулу, описывающую комплексное сопротивление Z двухполюсника с двумя резисторами и двумя конденсаторами. |
|
Решение:
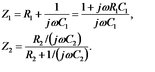
Искомая величина Z является суммой сопротивлений Z1 и Z2 двух более простых цепей, одна из которых образована последовательным, а другая параллельным включением элементов:

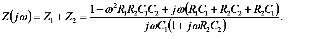
Приводя к общему знаменателя, получаем







