1.Мгновенные значения напряжений, токов, ЭДС заменяют соответствующими комплексными значениями, например,
u= Um cos (ωt + φ) заменяют U = Um ejφ,
i = Im cos (ωt + φ) заменяют I = Imejφ.
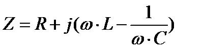
2. Комплексные сопротивления Z = R + jX всех ветвей схемы записывают в зависимости от выбранного метода расчета.
3. Алгебраические уравнения решают относительно искомой комплексной величины, например, тока I = Imejφ.
4. При необходимости переходят к мгновенному значению i = Im cos (ωt + φ).
В любой момент времени сумма мгновенных значений напряжений на последовательно включенных элементах цепи равна мгновенному значению приложенного напряжения:
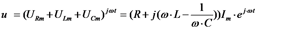
| u = uR +uL +ис Во всех последовательно включенных элементах цепи изменения силы тока происходят практически одновременно, так как электромагнитные взаимодействия распространяются со скоростью света. Поэтому можно считать, что колебания силы тока во всех элементах последовательной цепи происходят по закону: |

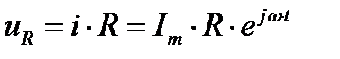
Колебания напряжения на резисторе совпадают по фазе с колебаниями силы тока
|
|
|
,
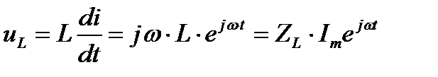
а колебания напряжения на катушке опережают по фазе колебания силы тока на
/2.
,
где
,
колебания напряжения на конденсаторе отстают по фазе на
/2 от колебаний силы тока
,
где
,
тогда 
,
где URm, UCm и ULm — амплитуды колебаний напряжения на резисторе, конденсаторе и катушке, а согласно закона Ома:
Таким образом, действительное число это активное сопротивление, а мнимое число – реактивное. Общее комплексное сопротивление можно найти сложением комплексных чисел, что значительно проще метода векторных диаграмм особенно для разветвленных цепей.
- 





