Акции и их доходность


Акция - эмиссионная ценная бумага, закрепляющая права ее владельца (акционера) на получение части прибыли АО в виде дивидендов, на участие в управлении акционерным обществом и на часть имущества, остающегося после его ликвидации.

Доходность акций – это показатель, который оценивает, какой доход нам принесли акции с момента их покупки. В общем случае рассчитывается как разница между полученным капиталом и первоначальным, деленная на первоначальный капитал. Высокая доходность характеризует во многом высокие риски. При этом стоит учитывать, что доходность может быть как положительной (т.е. прибыль), так и отрицательной (убыток).

Акции позволяют приносить прибыль своему владельцу двумя способами:

-за счет увеличения курсовой стоимости

-за счет периодических выплат дивидендов

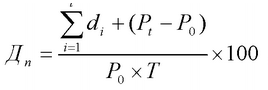
Выделяют следующие виды доходности: Дивидендная – выше у привилегированный акций, чем у обычных. Определить доходность в этом случае можно по формуле: Годовой див. На акцию/цену акции*100 Текущая – выражает дивидендную на данный момент времени – то есть это отношение выплаченных дивидендов к текущей стоимости данной акции Полная – учитывает не только прибыль по дивидендам, но и доход за счет изменения курсовой стоимости. Формула выглядит следующим образом:

, где d — сумма выплаченных дивидендов в конкретном году, Рt — рыночная цена акции к определенному моменту, Ро — цена приобретения акции, Т — число лет владения акциями, t — год владения акциями (i=1,2, 3 и т.д.)

Конечная – измеряется при продаже

Годовая – учитывает доходность акций на промежутке в 1 год. Формула полной годовой доходности смотрите выше (где написано про полную готовность).

Рыночная – учитывает изменение рыночной стоимости с момента покупки без учета доходов по дивидендам. Определяется соотношением стоимости на данный момент к стоимости первоначальной покупки.






Подборка статей по вашей теме: