1. Угломер транспортирный.
2. Угломер универсальный.
3. Оптический угломер.
4. Синусная линейка.
5. Набор угловых деталей.
6. Набор калибров – пробок для конусов инструментов, конусных деталей.
7. Набор конусных втулок.
8. Набор шариков разных диаметров.
9. Набор призматических угловых мер.
Общие положения
В качестве единицы измерения углов в системе СИ принят радиан. Однако измерение углов в радианах на практике связано с большими трудностями, так как ни один из современных приборов не имеет градуировки в радианах.
В машиностроении для угловых измерений применяются внесистемные единицы: градус, минута, секунда. Эти единицы связаны между собой следующими соотношениями.
I рад = 57017 45
206265I
I0 =
рад
1,745329 х 10-2 рад
II =
рад
2,908882 х 10-4 рад
III =
рад
4,848137 х 10-6 рад
При измерении конусов углы при вершинах характеризуется конусностью K – отношением разности диаметров в двух поперечных сечениях конуса к расстоянию между ними:

В машиностроении в зависимости от используемых средств и методов измерений различают три основных метода измерения углов:
1. Сравнительный метод измерения углов с помощью жестких угловых мер.
2. Абсолютный метод измерения углов, при котором измеряемый угол определяется непосредственно на угломерной шкале прибора.
3. Косвенный тригонометрический метод: угол определяется расчетным путем по результатам измерений линейных размеров.
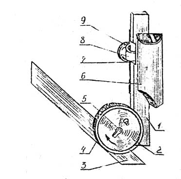
Угломер транспортирный (рис. 4.6, а) состоит из основания I, на котором нанесена шкала на дуге 120 °. На основании жестко закреплена линейка; подвижная линейка 3 вращается с конусом 5. Для точной установки на определенный угол винт 6 стопорится при помощи микрометрического винта линейки 3 вместе конусом приводится в требуемое положение. Для измерения углов от 0 ° до 90 ° на линейку надевается угольник 4. Измерение углов от 90 ° до 180 ° производится без угольника.
а) | б) |
Рис. 4.6. Устройство угломера транспортирного
Угломер универсальный (рис. 4.7, а) состоит из основания I, на котором нанесена основная градусная шкала сектора 2 с закрепленным на нем конусом 3. с помощью державки 4 на секторе 2 закрепляется съемный угольник 5 и съемная линейка 6. Линейка основания 7 жестко соединена с основанием I. основная шкала на дуге 130 °. Путем различных комбинаций в установке измерительных деталей угломера достигается возможность измерения в диапазоне от 0 ° до 320 °. Различные способы применения угломера на рис. 4.7. Цена давления основной шкалы I °, нониусной – 2.
а) | б) |
в) | г) |
Рис. 4.7. Устройство угломера универсального
Оптический угломер предназначен для измерения наружных углов от 0 ° до 180 ° и внутренних от 30 ° до 180 °. Цена деления шкалы лимба – 10. Прибор состоит из конуса 2 с отсчетным устройством, двух линеек I и 3, угол между ними устанавливается поворотом по часовой стрелке кольца 4 и фиксирует стопором 5. Подставка 6 закрепляется с помощью вкладыша 7, прижима 8 и гайки 9 и служит для удобной установки прибора на плоскую или цилиндрическую поверхность изделия.

Рис. 4.8. Оптический угломер
Измерение углов с помощью синусной линейки относится к тригонометрическому методу, заключающемуся в измерении линейных величин, позволяющих вычислить через тригонометрические функции искомых углов сами углы.
Синусная линейка (рис. 4.9) представляет собой стальную плиту с двумя прикрепленными к ней цилиндрическими роликами одинакового диаметра. Расстояние между осями роликов выдержано с высокой точностью и может быть равно 100 или 200 мм. Порядок измерения углов с помощью синусных линеек иллюстрируется схемой контроля наружного конуса (рис. 4.9). Проверяемая деталь закрепляется на плоскости стояка линейки, устанавливаемой на контрольной плите. Под один из роликов подводится блок концевых мер размером h. Зависимость между углом наклона L синусной линейки и размером l блока плиток определяется из соотношения
sin α=
.
Отклонение угла от номинального значения определяют по разности показаний в сечениях а и b, отнесенной к расстоянию l.

Рис. 4.9. Схема измерения
Задание
1. Ознакомиться с устройством и методикой измерения угломером транспортирным.
2. Ознакомиться с устройством и методикой измерения универсальным угломером.
3. Ознакомиться с устройством и методикой измерения оптическим угломером.
4. Ознакомиться с устройством и методикой измерения синусной линейкой
5. Ознакомиться с конструкцией жестких угловых мер.
6. Изучить методику измерения угла внутреннего конуса при помощи двух шариков.
Порядок выполнения
1. Определить погрешность показания угломера. Проверку погрешности показаний угломеров производят по угловым мерам не менее, чем в пяти-семи точках, расположенных равномерно по основной шкале и шкале конуса при открепленном и закрепленном стопорном винте. Проверку угломеров производят по блокам угловых мер с углами 15°10, 30°20, 45°30, 60°40, 75°50, 134°30.
Показания угломеров при совмещении их измерительных поверхностей с измерительными поверхностями угловых мер без видимого просвета не должны отличаться от действительных размеров угловых мер более, чем на
2.
Результаты проверки записать в форму отчета 6.
2. Измерить угломером деталь № ___ (по указанию преподавателя или лаборанта).
3. Измерить конусность детали, для чего:
Установить на проверочную плиту синусную линейку и закрепить на ней деталь (калибр-пробку).
Определить по маркировке калибра конусность, найти угол 2α и подсчитать размер блока плиток по формуле:
h = l sin 2α, мм
Подсчитать разность показаний индикатора в точках а и b синусной линейки. На проверочную плиту установить индикатор, закрепленный в универсальной стойке. Индикатор установить на нуль в точке а.
Переместить индикатор по проверочной плите в точку b. Расстояние l между точками а и b измерить с помощью линейки.
Подсчитать разность показаний индикатора в точках а и b. Определить погрешность конусности:
Δ K = 
Подсчитать отклонение угла конуса от номинального размера по формуле
Δ2l = 
Результаты измерений и расчета записать в форму 6 отчета.
Определить угол конуса детали (калибра-втулки) при помощи двух шариков, для чего:
В конусе отверстие детали закладывается меньший шарик диаметром d и измеряется расстояние H (рис. 4.10).

Рис. 4.10. Схема измерения
Закладывается большой график диаметром D и изменяется расстояние h, как H + H1/
Значение половины угла конуса подсчитывается по формуле
sinα =
,
где
l = H +h -
.
Если верхний шарик будет утоплен, тогда формула примет вид:
l = H –h -
/
Диаметр закладываемых шариков может быть любым, но их целесообразно выбирать таким образом, чтобы расстояние между ними было возможно большим.
Диаметр шариков должен быть аттестован на оптиметре. Величины H и h изменяются при помощи штангенглубиномеров.
Результаты измерений записать в форму 6 отчета.
а)
б)
а)
б)
в)
г) 





