· Потенциал электрического поля есть величина, равная отношению потенциальной энергии точечного положительного заряда, помещенную в данную точку поля, к этому заряду
,
или потенциал электрического поля есть величина, равная отношению работы сил поля по перемещению точечного положительного заряда из данной точки поля в бесконечность к этому заряду:
.
Потенциал электрического поля в бесконечности условно принят равным нулю.
Отметим, что при перемещении заряда в электрическом поле работа Aв.с внешних сил равна по модулю работе Aс.п сил поля и противоположна ей по знаку:
Aв.с= – Aс.п.
· Потенциал электрического поля, создаваемый точечным зарядом Q на расстоянии r от заряда,
.
· Потенциал электрического поля, создаваемого металлической, несущей заряд Q сферой радиусом R, на расстоянии r от центра сферы:
внутри сферы (r < R)
;
на поверхности сферы (r = R)
;
вне сферы (r>R)
.
Во всех приведенных для потенциала заряженной сферы формулах e есть диэлектрическая проницаемость однородного безграничного диэлектрика, окружающего сферу.
· Потенциал электрического поля, созданного системой п точечных зарядов, в данной точке в соответствии с принципом суперпозиции электрических полей равен алгебраическойсуммепотенциалов j1, j2,..., jn, создаваемых отдельными точечными зарядами Q1, Q2,..., Qn:
.
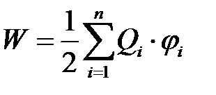
· Энергия W взаимодействия системы точечных зарядов Q1, Q2,..., Qn определяется работой, которую эта система зарядов может совершить при удаленииих относительно друг друга в бесконечность, и выражается формулой
,
где
— потенциал поля, создаваемого всеми п– 1 зарядами (за исключением i -го) в точке, где расположен заряд Qi.
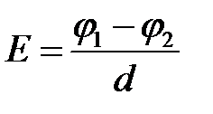
· Потенциал связан с напряженностью электрического поля соотношением
.
В случае электрического поля, обладающего сферической симметрией, эта связь выражается формулой
,
или в скалярной форме
,
а в случае однородного поля, т. е. поля, напряженность которого в каждой точке его одинакова как по модулю, так и по направлению
,
где j1 и j2 — потенциалы точек двух эквипотенциальных поверхностей; d – расстояние между этими поверхностями вдоль электрической силовой линии.
· Работа, совершаемая электрическим полем при перемещении точечного заряда Q из одной точки поля, имеющей потенциал j1, в другую, имеющую потенциал j2
A = Q ∙ (j1 – j2), или 
где El — проекция вектора напряженности
на направление перемещения; dl — перемещение.
В случае однородного поля последняя формула принимает вид
A=Q∙E∙l∙cosa,
где l — перемещение; a — угол между направлениями вектора
и перемещения
.
• Диполь есть система двух точечных электрических зарядов равных по размеру и противоположных по знаку, расстояние l между которыми значительно меньше расстояния r от центра диполя до точек наблюдения.
Вектор
проведенный от отрицательного заряда диполя к его положительному заряду, называется плечом диполя.
Произведение заряда | Q | диполя на его плечо
называется электрическим моментом диполя:
.
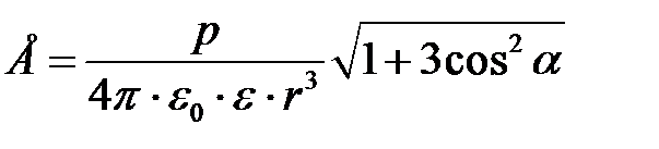
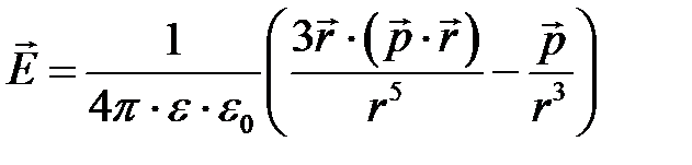
· Напряженность поля диполя
или
,
где р - электрический момент диполя; r - модуль радиуса-вектора, проведенного от центра диполя к точке, напряженность поля в которой нас интересует; α- угол между радиусом-вектором
и плечом
диполя.
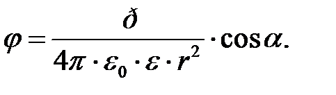
· Потенциал поля диполя
или 
· Механический момент, действующий на диполь с электрическим моментом
, помещенный в однородное электрическое поле с напряженностью 
или M=p∙E∙ sin
,
где α- угол между направлениями векторов
и
.
В неоднородном электрическом поле кроме механического момента (пары сил) на диполь действует еще некоторая сила. В случае поля, обладающего симметрией относительно оси х,сила выражается соотношением

где
- частная производная напряженности поля, характеризующая степень неоднородности поля в направлении оси х.
При
сила F хположительна. Это значит, что под действием ее диполь втягивается в область сильного поля.
• Потенциальная энергия диполя в электрическом поле
