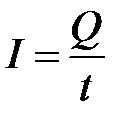
· Сила постоянного тока
,
где Q - количество электричества, прошедшее сечение проводника за время t.
· Плотность электрического тока есть векторная величина, равная отношению силы тока к площади S поперечного сечения проводника:

где
- единичный вектор, по направлению совпадающий с направлением движения положительных носителей заряда.
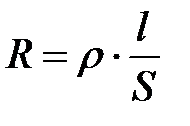
· Сопротивление однородного проводника
,
где ρ - удельное сопротивление вещества проводника; l - его длина.
· Проводимость G проводника и удельная проводимость γ вещества
G= 1 /R, γ =l/ ρ.
· Зависимость удельного сопротивления от температуры
ρ=ρ 0(1 +αt),
где ρ и ρ 0 - удельные сопротивления соответственно при t и 0 ˚С; t -температура (по шкале Цельсия); α – температурный коэффициент сопротивления.
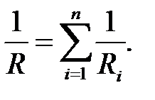
· Сопротивление соединения проводников:
последовательного
параллельного 
Здесь Ri - сопротивление i- гопроводника; п - число проводников.
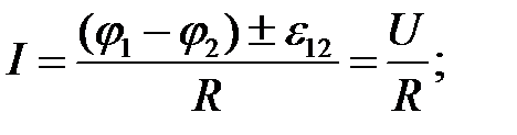
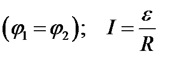
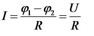
· Закон Ома:
для неоднородного участка цепи 
для однородного участка цепи
;
для замкнутой цепи
.
Здесь (φ 1 – φ 2) - разность потенциалов на концах участка цепи; ε 12 - ЭДС источников тока, входящих в участок; U - напряжение на участке цепи; R - сопротивление цепи (участка цепи); ε - ЭДС всех источников тока цепи.
|
|
|
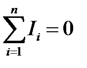
· Правила Кирхгофа.
Первое правило: алгебраическая сумма сил токов, сходящихся в узле, равна нулю, т. е.

где n - число токов, сходящихся в узле.
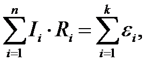
Второе правило: в замкнутом контуре алгебраическая сумма напряжений на всех участках контура равна алгебраической сумме электродвижущих сил, т.е.

где I i - сила тока на i- мучастке; R i - активное сопротивление на i- мучастке; εi- ЭДС источников тока на i- мучастке; п - число участков, содержащих активное сопротивление; k- число участков, содержащих источники тока.
· Работа, совершаемая электростатическим полем и сторонними силами в участке цепи постоянного тока за время t
A=I∙U∙t.
· Мощность тока
P=I∙U.
· Закон Джоуля - Ленца
Q=I 2∙ R∙t,
где Q - количество теплоты, выделяющееся в участке цепи при протекании постоянного тока за время t.
В случае переменного тока количество теплоты, выделяющееся за малое время 
,
где
– мгновенная сила тока.
Закон Джоуля - Ленца справедлив при условии, что участок цепи неподвижен и в нем не совершаются химические превращения.






