| Рис. 23 |
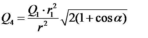
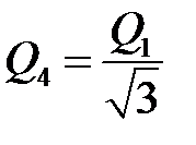
Пример 1. Три одинаковых положительных заряда Q1 = Q2 = Q3 =1 нКл расположены по вершинам равностороннего треугольника (рис. 23). Какой отрицательный заряд Q4 нужно поместить в центре треугольника, чтобы сила притяжения с его стороны уравновесила силы взаимного отталкивания зарядов, находящихся в вершинах? Решение. Все три заряда, расположенных по вершинам треугольника, находятся в одинаковых условиях. Поэтому для решения задачи достаточно выяснить, какой заряд следует поместить в центре треугольника, чтобы один из трех зарядов, например Q1,
находился в равновесии.
В соответствии с принципом суперпозиции на заряд действует каждый заряд независимо от остальных. Поэтому заряд Q1 будетнаходиться в равновесии, если векторная сумма действующих на него сил равна нулю:
, (1)
где
— силы, с которыми соответственно действуют на заряд Q1 заряды Q2, Q3 и Q4;
— равнодействующая сил
.
Так как силы
и
направлены по одной прямой, то векторное равенство (1) можно заменить скалярной суммой:
F – F4 =0, или F4 = F.
|
|
|
Выразив в последнем равенстве F через F2 и F3 и учитывая, что F3 = F2, получим
.
Применяя закон Кулона и имея в виду, что Q2 = Q3 = Q1, найдем
,
откуда
. (2)
Из геометрических построений в равностороннем треугольнике следует, что
.
С учетом этого формула (2) примет вид
.
Подставив сюда значение Q1, получим
Q4 =0,58 нКл.
Отметим, что равновесие системы зарядов будет неустойчивым.
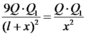
Пример 2. Два заряда 9 Q и - Q закреплены на расстоянии l =50 см друг от друга. Третий заряд Q1 может перемещаться только вдоль прямой, проходящей через заряды. Определить положение заряда Q1, при котором он будет находиться в равновесии. При каком знаке заряда равновесие будет устойчивым? Равновесие называется устойчивым, если при малом смещении заряда от положения равновесия возникают силы, возвращающие его в положение равновесия.
Решение. Заряд Q1 будет находиться в равновесии в том случае, если векторная сумма сил, действующих на него, будет равна нулю. Это значит, что на заряд Q1 должны действовать две силы, равные по модулю и противоположные по направлению. Рассмотрим, на каком из трех участков I, II, III (рис. 24) может быть выполнено это условие. Для определенности будем считать, что заряд Q1 —положительный.
На участке I (рис. 24, а) на заряд Q1 действуют две противоположно направленные силы:
и
. Сила
, действующая со стороны заряда 9 Q, в любой точке этого участка будет больше, чем сила
, действующая со стороны заряда - Q, так как больший (по модулю) заряд 9 Q всегда находится ближе к заряду Q1, чем меньший заряд - Q. Поэтому равновесие на этом участке невозможно.
На участке II (рис. 24, б) обе силы
и
направлены в одну сторону — к заряду - Q. Следовательно, и на втором участке равновесие невозможно.
|
|
|

| Рис. 24 |
и
направлены в противоположные стороны, так же как и на участке I, но в отличие от него меньший (по модулю) заряд (– Q) всегда находится ближе к заряду Q1, чем больший заряд (9 Q). Это значит, что можно найти такую точку на прямой, где силы
и
будут одинаковы по модулю, т. е.
.(1)
Пусть расстояние от меньшего заряда до заряда Q1 равно х, тогда расстояние от большего заряда будет (l+х). Выражая в равенстве (1) F1 и F2 в соответствии с законом Кулона, получим
.
Сокращая на QQ1 и извлекая из обеих частей равенства квадратный корень, найдем l + x =±3 x, откуда x1 =+ l /2 и x2=-l /4.
Корень x2 не удовлетворяет физическому условию задачи (в этой точке силы F1 и F2 хотя и равны по модулю, но направлены в одну сторону).
Определим знак заряда, при котором равновесие будет устойчивым. Рассмотрим смещение заряда Q1 в двух случаях: 1) заряд положителен;2) заряд отрицателен.
1. Если заряд Q1 положителен, то при смещении его влево обе силы F1 и F2 возрастают, но F1 возрастает медленнее (заряд 9 Q всегда находится дальше, чем – Q). Следовательно, F2 (по модулю) больше, чем F1, и на заряд Q1 будет действовать результирующая сила, направленная также влево. Под действием этой силы заряд Q1 удаляется от положения равновесия. То же происходит и при смещении заряда Q1 вправо. Сила F2 убывает быстрее, чем F1. Векторная сумма сил в этом случае направлена вправо. Заряд под действием этой силы также будет перемещаться вправо, т. е. удаляться от положения равновесия. Таким образом, в случае положительного заряда равновесие является неустойчивым.
2. Если заряд Q1 отрицателен, то его смещение влево вызовет увеличение сил F2 и F1, но сила F1 возрастает медленнее, чем F2, т.е. | F2 |>| F1 |. Результирующая сила будет направлена вправо. Под действием этой силы заряд Q1 возвращается к положению равновесия. При смещении Q1 вправо сила F2 убывает быстрее, чем F1, т. е. | F1 |>| F2 |. результирующая сила направлена влево и заряд Q1 опять будет возвращаться к положению равновесия. При отрицательном заряде равновесие является устойчивым. Величина самого заряда Q1 несущественна.
Отметим, что в электростатике устойчивое равновесие возможно только при определенных ограничениях. В нашем примере заряд Q1 может перемещаться только вдоль прямой, проходящей через заряды – Q и 9 Q. Если это ограничение снять, то устойчивого равновесия не будет. В системе зарядов, находящихся под действием одних только электростатических сил, устойчивое равновесие невозможно (теорема Ирншоу).
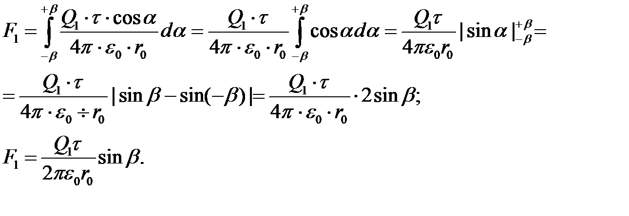
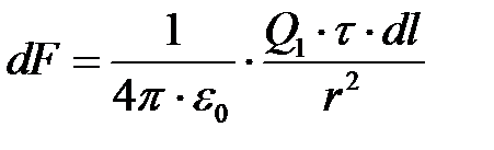
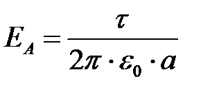
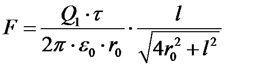
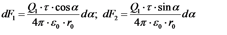
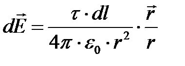
Пример 3. Тонкий стержень длиной l =30 см (рис. 25) несет равномерно распределенный по длине заряд с линейной плотностью t =1 мкКл/м. На расстоянии r0 =20 см от стержня находится заряд Q1 =10 нКл, равноудаленный от концов, стержня. Определить силу F взаимодействия точечного заряда с заряженным стержнем.
| Рис. 25 |
Решение. Закон Кулона позволяет вычислить силу взаимодействия точечных зарядов. По условию задачи, один из зарядов не является точечным, а представляет собой заряд, равномерно распределенный по длине стержня. Однако если выделить на стержне дифференциально малый участок длиной dl, то находящийся на нем заряд dQ=t·dl можно рассматривать как точечный и тогда по закону Кулона сила взаимодействия между зарядами Q1 и dQ:
, (1)
где r — расстояние от выделенного элемента до заряда Q1. Здесь и далее, если в условии задачи не указана среда, имеется в виду, что заряды находятся в вакууме (e=1).
Из чертежа (рис. 25) следует, что
и
, где
r0 — расстояние от заряда Q1 до стержня. Подставив эти выражения в формулу (1), получим
.(2)
Следует иметь в виду, что
— вектор, поэтому, преждечеминтегрировать разложим его на две составляющие:
, перпендикулярную стержню, и
, параллельную ему.
|
|
|
Из рис. 25 видно, что dF1 = dF∙ cosa, dF 2= dF∙ sina. Подставляя значение dF из выражения (2) в эти формулы, найдем:
.
Интегрируя эти выражения в пределах от – b до + b, получим

В силу симметрии расположения заряда Q1 относительно стержня интегрирования второго выражения дает нуль

Таким образом, сила, действующая на заряд Q1
.(3)
Из рис. 25 следует, что
. Подставив это выражение sin b в формулу (3), получим
.(4)
Произведем вычисления по формуле (4):

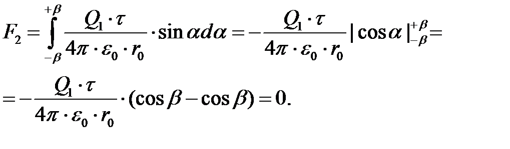
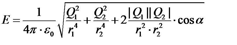
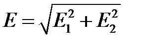
Пример 4. Электрическое поле создано двумя точечными зарядами: Q1 =30 нКл и Q2 = –10 нКл. Расстояние d между зарядами равно 20 см. Определить напряженность электрического поля в точке, находящейся на расстоянии r1 =15 см от первого и на расстоянии r2 =10 см от второго зарядов.
| Рис. 26 |
электрического поля в искомой точке может быть найдена как векторная сумма
напряженностей полей, создаваемых каждым зарядом в отдельности:
. Напряженности электрического поля, создаваемого в вакууме первым и вторым зарядами, соответственно равны
(1)
Вектор
(рис. 26) направлен по силовой линии от заряда Q1, так как заряд Q1 >0; вектор
направлен также по силовой линии, но к заряду Q2, так как Q2 <0.
Модуль вектора
найдем по теореме косинусов:
, (2)
где угол a может быть найден из треугольника со сторонами r1, r2 и d:
.
В данном случае во избежание громоздких записей вычислим отдельно значение cosa. По этой формуле найдем
cosa =0,25.
Подставляя выражения E1 и E2 а по формулам (1) в равенство (2) и вынося общий множитель 1/(4pe 0) за знак корня, получаем
.
Подставив значения величин p,e 0, Q1, Q2, r1, r2 и cosa в последнюю формулу и произведя вычисления, найдем

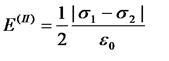
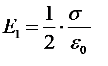
Пример 5. Электрическое поле создано двумя параллельными бесконечными заряженными плоскостями с поверхностными плотностями заряда s 1 =0,4 мкКл/м2 и s 2 =0,1 мкКл/м2. Определить напряженность электрического поля, созданного этими заряженными плоскостями.
Решение. Согласно принципу суперпозиции, поля, создаваемые каждой заряженной плоскостью в отдельности, накладываются друг на друга, причем каждая заряженная плоскость создает электрическое поле независимо от присутствия другой заряженной плоскости (рис. 27).
|
|
|
| Рис. 27 |
;
.
Плоскости делят все пространство на три области: I, II и III. Как видно из рисунка, в первой и третьей областях электрические силовые линии обоих полей направлены в одну сторону и, следовательно, напряженности суммарных полей Е(I) и E(III) в первой и третьей областях равны между собой и равны сумме напряженностей полей, создаваемых первой и второй плоскостями: Е(I)= E(III) = E1+E2, или
Е(I)= E (III) =
.
| Рис. 28 |
.
Подставив данные и произведя вычисления, получим
E(I)=E(III)= 28,3кВ/м; E(II) =17 кВ/м.
Картина распределения силовых линий суммарного поля представлена на рис. 28.
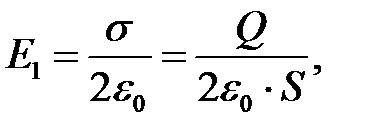
Пример 6. На пластинах плоского воздушного конденсатора находится заряд Q =10 нКл. Площадь S каждой пластины конденсатора равна 100 см2 Определить силу F, с которой притягиваются пластины. Поле между пластинами считать однородным.
Решение. Заряд Q одной пластины находится в поле, созданном зарядом другой пластины конденсатора. Следовательно, на первый заряд действует сила (рис. 29)
F=E1Q (1)
| Рис. 29 |
где s – поверхностная плотность заряда пластины. Формула (1) с учетом выражения для E1 примет вид
.
Подставив значения величин Q,
и S в эту формулу и произведя вычисления, получим
F =565 мкН.
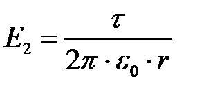
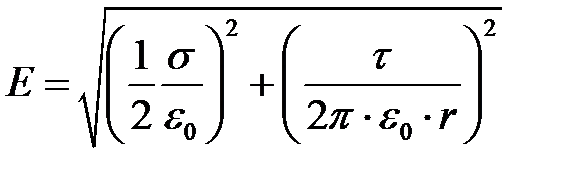
Пример 7. Электрическое поле создано, бесконечной плоскостью, заряженной с поверхностной плотностью s = 400 нКл/м 2, и бесконечной прямой нитью, заряженной с линейной плотностью t =100 нКл/м. На расстоянии r =10 см от нити находится точечный заряд Q =10 нКл. Определить силу, действующую на заряд, ее направление, если заряд и нить лежат в одной плоскости, параллельной заряженной плоскости.
Решение. Сила, действующая на заряд, помещённый в поле,
F=E∙Q, (1)
где Е — напряженность поля в точке, в которой находится заряд Q.
| Рис. 30 |
Определим напряженность Е поля, создаваемого, по условию задачи, бесконечной заряженной плоскостью и бесконечной заряженной нитью. Поле, создаваемое бесконечной заряженной плоскостью, однородно, и его напряженность в любой точке
. (2)
Поле, создаваемое бесконечной заряженной линией, неоднородно. Его напряженность зависит от расстояния и определяется по формуле
. (3)
Согласно принципу суперпозиции электрических полей, напряженность поля в точке, где находится заряд Q, равна векторной сумме напряженностей (рис. 30):
. Так как векторы
взаимно перпендикулярны, то
.
Подставляя выражения E1 и E2 по формулам (2) и (3) в это равенство, получим
,
или
.
Теперь найдем силу F, действующую на заряд, подставив выражение Е в формулу (1):
.(4)
Подставив значения величин Q, e 0, s, t, p и r в формулу (4) и сделав вычисления, найдем
F =289 мкН.
Направление силы
, действующей на положительный заряд Q, совпадает с направлением вектора напряженности
поля. Направление же вектора
задается углом a к заряженной плоскости. Из рис. 30 следует, что
, откуда
.
Подставив значения величин p, r, s и t в это выражение и вычислив, получим
a=51°3¢
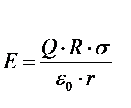
Пример 8. Точечный заряд Q =25 нКл находится в ноле, созданном прямым бесконечным цилиндром радиусом R= 1 см, равномерно заряженным с поверхностной плотностью s =2 мкКл/м2. Определить силу, действующую на заряд, помещенный от оси цилиндра на расстоянии r =10 см.
Решение. Сила, действующая на заряд Q, находящийся в поле,
F=Q∙E,(1)
где Е — напряженность поля в точке, в которой находится заряд Q.
Как известно, напряженность поля бесконечно длинного равномерно заряженного цилиндра
, (2)
где t — линейная плотность заряда.
Выразим линейную плотность t через поверхностную плотность s. Для этого выделим элемент цилиндра длиной l и выразим находящийся на нем заряд Q1 двумя, способами:
Q1=s∙S=s∙2p∙R∙l и Q1 = t ∙l.
Приравняв правые части этих равенств, получим t∙ l =2p∙ R∙l∙s. После сокращения на l найдем t =2p∙ R∙s. С учетом этого формула (2) примет вид
.
Подставив это выражение Е в формулу (1), найдем искомую силу:
. (3)
Так как R и r входят в формулу в виде отношения, то они могут быть выражены в любых, но только одинаковых единицах.
Выполнив вычисления по формуле (3), найдем
F =25×10-9×2×10-6×10-2/(8,85×10-12×10×10-2)H=565×10-6H=565мкH.
Направление силы
совпадает с направлением вектора напряженности
, а последний в силу симметрии (цилиндр бесконечно длинный) направлен перпендикулярно цилиндру.
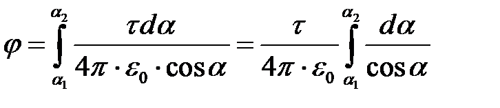
Пример 9. Электрическое поле создано тонкой бесконечно длинной нитью, равномерно заряженной с линейной плотностью t =30 нКл/м. На расстоянии а =20 см от нити находится плоская круглая площадка радиусом r =1 см. Определить поток вектора напряженности через эту площадку, если плоскость ее составляет угол b =30° с линией напряженности, проходящей через середину площадки.
Решение. Поле, создаваемое бесконечно равномерно, заряженной нитью, является неоднородным. Поток вектора напряженности в этом случае выражается интегралом
, (1)
где En — проекция вектора
на нормаль
к поверхности площадки dS. Интегрирование выполняется по всей поверхности площадки, которую пронизывают линии напряженности.
Проекция Еп вектора напряженности равна, как видно из рис. 31,
Еп=Е∙ cosa,
| Рис. 31 |
. С учетом этого формула (1) примет вид
.
Так как размеры поверхности площадки малы по сравнению с расстоянием до нити (r << a), то электрическое поле в пределах площадки можно считать практически однородным. Следовательно, вектор напряженности
очень мало. меняется по модулю и направлению в пределах площадки, что позволяет заменить под знаком интеграла значения Е и cosa их средними значениями< E > и <cosa> и вынести их за знак интеграла:

Выполняя интегрирование и заменяя < E > и <cosa> их приближенными значениями ЕA и cos aA, вычисленными для средней точки площадки, получим
Ф E = ЕA cos aAS =p r 2 ЕA cosa A. (2)
Напряженность ЕA вычисляется по формуле
. Изрис. 31 следует cos aA =cos(p/2 —b)=sinb.
С учетом выражения ЕA и cos aA равенство (2.) примет вид
.
Подставив в последнюю формулу данные и произведя вычисления, найдем
Ф E =424 мВ·м.
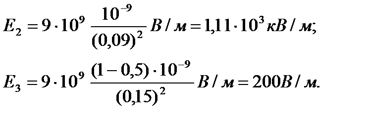
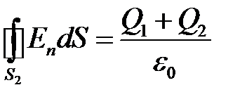
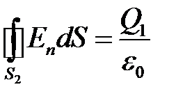
Пример10. Две концентрические проводящие сферы радиусами R1 =6 см и R2= 10 см несут соответственно заряды Q1 =l нКл и Q2 = – 0,5 нКл. Найти напряженность Е поля в точках, отстоящих от центра сфер на расстояниях r1 =5 см, r2 =9 см, r3 =15см. Построить график Е (r).
| Рис. 32 |
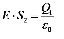
1. Для определения напряженности E1 в области I проведем сферическую поверхность S1 радиусом r1 и воспользуемся теоремой Остроградского—Гаусса. Так как внутри области I зарядов нет, то согласно указанной теореме получим равенство
, (1)
где En — нормальная составляющая напряженности электрического поля.
Из соображений симметрии нормальная составляющая En должна быть равна самой напряженности и постоянна для всех точек сферы, т. е. En=E1= const. Поэтому ее можно вынести за знак интеграла. Равенство (1) примет вид
.
Так как площадь сферы не равна нулю, то E1 =0,т. е. напряженность поля во всех точках, удовлетворяющих условию r1<R1, будет равна нулю.
2. В области II сферическую поверхность проведем радиусом r2. Так как внутри этой поверхности находится, заряд Q1,тодля нее, согласно теореме Остроградского—Гаусса,можно записать равенство
. (2)
Так как En = E2 =const, то из условий симметрии следует
,
откуда
.
Подставив сюда выражение площади сферы, получим
. (3)
3. В области III сферическую поверхность проведем радиусом r3. Эта поверхность охватывает суммарный заряд Q1 + Q2. Следовательно, для нее уравнение, записанное на основетеоремыОстроградского — Гаусса, будет иметь вид
.
Отсюда, использовав положения, примененные в первых двух случаях, найдем
. (4)
Выразим все величины в единицах СИ (Q1 =10-9 Кл, Q2 = –0,5·10-9 Кл, r2 =0,09 м, r3 =0,15м,l/(4pe 0)=9×109 м/Ф) и произведем вычисления:
| Рис. 33 |
4. Построим график E (r).В области I (r<R1) напряженность E =0. В области II (R1
r<R2) напряженность E2 (r) изменяется по закону 1/ r2. В точке r=R1 напряженность E2 (R1)= Q1 /(4pe 0R
)=2500 В/м.В точке r=R2 (r стремится к R2 слева) E2 (R2) =Q1 /(4pe 0R
)=900В/м. В области III (r > R2) E3 (r) изменяется по закону 1/ r2, причем в точке r=R2 (r стремится к R2 справа)
Е3 (R2)=(Q1 – |Q2 |)/(4pe 0R
)=450 В/м. Таким образом, функция Е (r) в точках r = R1 и r=R2 терпит разрыв. График зависимости Е (r)представлен на рис. 33.
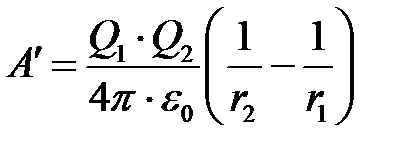
Пример 11. Положительные заряды Q1 =3 мкКл и Q2 =20 нКл находятся в вакууме на расстоянии r1 =l,5 м друг от друга. Определить работу A, которую надо совершить, чтобы сблизить заряды до расстояния r2 =1 м.
Решение. Положим, что первый заряд Q1 остается неподвижным, а второй Q2 под действием внешних сил перемещается в поле, созданном зарядом Q1, приближаясь к нему с расстояния r1 =1,5 м до r2 =1 м.
Работа А' внешней силы по перемещению заряда Q из однойточки поля с потенциалом j1 в другую, потенциал которой j2, равна по модулю и противоположна по знаку работе А сил поля по перемещению заряда между теми же точками:
А'= – А.
Работа А сил поля по перемещению заряда A = Q (j1 – j2). Тогда работа А' внешних сил может быть записана в виде
A' = – Q (j1 – j2)= Q (j2 – j1).(1)
Потенциалы точек начала и конца пути выразятся формулами
;
.
Подставляя выражения j1 и j2 в формулу (1) и учитывая, что для данного случая переносимый заряд Q = Q2, получим
. (2)
Если учесть, что 1/(4pe 0)=9×109м/Ф, то после подстановки значений величин в формулу (2) и вычисления найдем
A '=180 мкДж.
| Рис. 34 |
Пример 12. Найти работу А поля по перемещению заряда Q =10 нКл из точки 1 в точку 2 (рис. 34), находящиеся между двумя разноименно заряженными с поверхностной плотностью s =0,4 мкКл/м 2 бесконечными параллельными плоскостями, расстояние l между которыми равно 3 см. Решение. Возможны два способа решения задачи.
1-й способ. Работу сил поля по перемещению заряда Q из точки 1 поля с потенциалом j1 в точку 2 поля с потенциалом j2 найдем по формуле
A = Q (j1 – j2). (1)
Для определения потенциалов в точках 1 и 2 проведем через эти точки эквипотенциальные поверхности I и II. Эти поверхности будут плоскостями, так как поле между двумя равномерно заряженными бесконечными параллельными плоскостями однородно. Для такого поля справедливо соотношение
j1 – j2 = E∙l,(2)
где Е — напряженность поля; l — расстояние между эквипотенциальными поверхностями.
Напряженность поля между параллельными бесконечными разноименно заряженными плоскостями E =s/e 0. Подставив это выражение Е в формулу (2) и затем выражение j1 – j2 в формулу (1), получим
.
2-й способ. Так как поле однородно, то сила, действующая на заряд Q, при его перемещении постоянна. Поэтому работу перемещения заряда из точки 1 в точку 2 можно подсчитать по формуле
A = F∙Dr∙ cosa,(3)
где F — сила, действующая на заряд; D r — модуль перемещения заряда Q из точки 1 в точку 2; a — угол между направлениями перемещения и силы. Но F=Q∙E=Q(s / e0). Подставив это выражение F в равенство (3), а также заметив, что D r∙ cosa= l, получим
A. (4)
Таким образом, оба решения приводят к одному и тому же результату.
Подставив в выражение (4) значение величин Q, s, e 0 и l, найдем
A =13,6 мкДж.
| Рис. 35 |
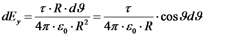
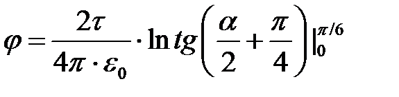
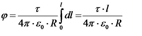
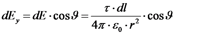
Пример 13. По тонкой нити, изогнутой по дуге окружности радиусом R, равномерно распределен заряд с линейной плотностью t =10 нКл/м. Определить напряженность
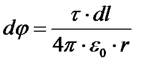
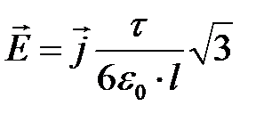
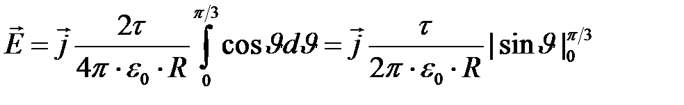
и потенциал j электрического поля, создаваемого таким распределенным зарядом в точке О, совпадающей с центром кривизны дуги. Длина l нити составляет 1/3 длины окружности и равна 15 см. Решение. Выберем оси координат так, чтобы начало координат совпадало с центром кривизны дуги, а ось у была симметрично расположена относительно концов дуги (рис. 35). На нити выделим элемент длины dl. Заряд dQ=t∙dl, находящийся на выделенном участке, можно считать точечным.
Определим напряженность электрического поля в точке О. Для этого найдем сначала напряженность
поля, создаваемого зарядом dQ:
,
где
—радиус-вектор, направленный от элемента dl к точке, напряженность в которой вычисляется. Выразим вектор
через проекции
и
на оси координат:
,
где
и
— единичные векторы направлений (орты).
Напряженность
найдем интегрированием:
.
Интегрирование ведется вдоль дуги длины l. В силу симметрии интеграл
равен нулю. Тогда
,(1)
где
. Так как r = R =const и dl=R∙dJ. то
.
Подставим найденное выражение
в (1) и, приняв во внимание симметричное расположение дуги относительно оси Оу, пределы интегрирования возьмем от 0 до p/3, а результат удвоим;
.
Подставив указанные пределы и выразив R через длину дуги (3 l= 2p R), получим
.
Из этой формулы видно, что вектор
совпадает с положительным направлением оси Оу. Подставив значение t и l в последнюю формулу и сделав вычисления, найдем
E =2,18 кВ/м.
Определим потенциал электрического поля в точке О. Найдем сначала потенциал dj, создаваемый точечным зарядом dQ в точке О:

Заменим r на R и произведем интегрирование:
.
Так как l= 2 pR/ 3, то
j =t /(6e 0).
Произведя вычисления по этой формуле, получим
j =188 В.
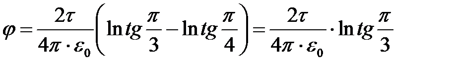
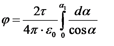
Пример14. Электрическое поле создано длинным цилиндром радиусом R= 1см, равномерно заряженным с линейной плотностью t=20 нКл/м. Определить разность потенциалов двух точек этого поля, находящихся на расстояниях a1 =0,5 см и а2 =2 см от поверхности цилиндра, в средней его части.
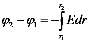
Решение. Для определения разности потенциалов воспользуемся соотношением между напряженностью поля и изменением потенциала
. Для поля с осевой симметрией, каким является поле цилиндра, это соотношение можно записать в виде
, или dj = – Е∙dr.
Интегрируя последнее выражение, найдем разность потенциалов двух точек, отстоящих на r1 и r2 от оси цилиндра;
.(1)
Так как цилиндр длинный и точки взяты вблизи его средней части, то для выражения напряженности поля можно воспользоваться формулой
.
Подставив это выражение Е в равенство (1), получим
(2)
Так как величины r2 и r1 входят в формулу в виде отношения, то их можно выразить в любых, но только одинаковых единицах:
r1=R+a1= 1,5 см; r2 = R + a2 =3см.
Подставив значения величия t, e 0, r1 и r2 в формулу (2) и вычислив, найдем
j1 – j2 =250 В.
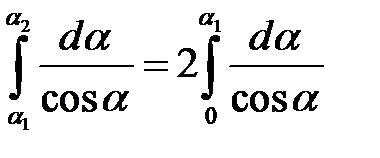
Пример 15. Электрическое поле создано тонким стержнем, несущим равномерно распределенный по длине заряд t =0,1 мкКл/м. Определить потенциал j поля в точке, удаленной от концов стержня на расстояние, равное длине стержня.
Решение. Заряд, находящийся на стержне, нельзя считать точечным, поэтому непосредственно применить для вычисления потенциала формулу
,(1)
справедливую только для точечных зарядов, нельзя. Но если разбить стержень на элементарные отрезки dl, то заряд t·dl, находящийся на каждом из них, можно рассматривать как точечный и тогда формула (1) будет справедлива. Применив эту формулу, получим
,(2)
где r — расстояние точки, в которой определяется потенциал, до элемента стержня.
Из рис. 36 следует, что dl =(rda /cosa). Подставив это выражение dl в формулу (2), найдем
.
Интегрируя полученное выражение в пределах от a 1 да a 2, получим потенциал, создаваемый всем зарядом, распределенным на стержне:
.
В силу симметрии расположения точки А относительно концов стержня имеем a 2 =a 1 и поэтому
.
Следовательно,
.
| Рис. 36 |
, то
.
Подставляя пределы интегрирования, получим

Сделав вычисления по этой формуле, найдем
j =990 В.
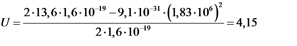
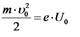
Пример 16. Электрон со скоростью υ =1,83×106 м/с влетел в однородное электрическое поле в направлении, противоположном вектору напряженности поля. Какую разность потенциалов U должен пройти электрон, чтобы обладать энергией Ei =13,6 эВ? (Обладая такой энергией, электрон при столкновении с атомом водорода может ионизировать его.)
Решение. Электрон должен пройти такую разность потенциалов U, чтобы приобретенная при этом энергия W в сумме с кинетической энергией
, которой обладал электрон перед вхождением в поле, составила энергию, равную энергии ионизации Ei, т. е. W+
=Ei. Выразив в этой формуле W=e∙U и
, получим e∙U +
= Ei. Отсюда
.
Электрон-вольт (эВ) — энергия, которую приобретает частица, имеющая заряд, равный заряду электрона, прошедшая разность потенциалов 1 В. 1 эВ =1,6·10-19 Дж.
Произведем вычисления в единицах СИ (масса электрона –
кг; заряд электрона –
, где
Кл – элементарный заряд):
В.
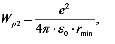
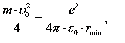
Пример 17. Определить начальную скорость
сближения протонов, находящихся на достаточно большом расстоянии друг от друга, если минимальное расстояние r min, на которое они могут сблизиться, равно
см.
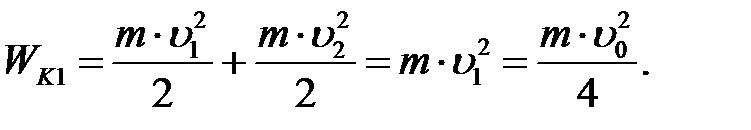
Решение. Между двумя протонами действуют силы отталкивания, вследствие чего движение протонов будет замедленным. Поэтому задачу можно решить как в инерциальной системе координат (связанной с центром масс двух протонов), так и в неинерциальной (связанной с одним из ускоренно движущихся протонов). Во втором случае законы Ньютона не имеют места. Применение же принципа Даламбера затруднительно из ‑ за того, что ускорение системы будет переменным. Поэтому удобно рассмотреть задачу в инерциальной системе отсчета.
Поместим начало координат в центр масс двух протонов. Поскольку мы имеем дело с одинаковыми частицами, то центр масс будет находиться в точке, делящей пополам отрезок, соединяющий частицы. Относительно центра масс частицы будут иметь в любой момент времени одинаковые по модулю скорости. Когда частицы находятся на достаточно большом расстоянии друг от друга, скорость
каждой частицы равна половине
, т. е.
.
Для решения задачи применим закон сохранения энергии, согласно которому полная механическая энергия
изолированной системы постоянна, т. е.
,
где
- сумма кинетических энергий обоих протонов относительно центра масс;
- потенциальная энергия системы зарядов.
Выразим потенциальную энергию в начальный
и конечный
моменты движения.
В начальный момент, согласно условию задачи, протоны находились на большом расстоянии, поэтому потенциальной энергией можно пренебречь (
=0). Следовательно, для начального момента полная энергия будет равна кинетической энергии
протонов, т. е.
. (1)
В конечный момент, когда протоны максимально сблизятся, скорость и кинетическая энергия равны нулю, а полная энергия будет равна потенциальной энергии
, т. е.
.(2)
Приравняв правые части равенств (1) и (2), получим
.(3)
Кинетическая энергия равна сумме кинетических энергий протонов:
(4)
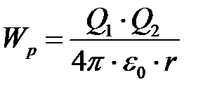
Потенциальная энергия системы двух зарядов Q 1 и Q 2, находящихся в вакууме, определяется по формуле
, где r - расстояние между зарядами. Воспользовавшись этой формулой, получим
(5)
С учетом равенств (4) и (5) формула (3) примет вид
откуда 
Выполнив вычисления по полученной формуле (масса протона равна
кг), найдем
Мм/с.
| Рис. 37 |
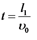
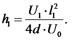
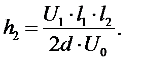
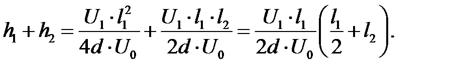
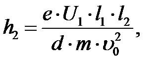
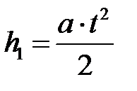
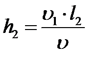
Пример 18. Электрон без начальной скорости прошел разность потенциалов U 0 = 10кВ и влетел в пространство между пластинами плоского конденсатора, заряженного до разности потенциалов U l=100 В, по линии АВ, параллельной пластинам (рис. 37). Расстояние d между пластинами равно 2 см. Длина l 1 пластин конденсатора в направлении полета электрона, равна 20 cм. Определить расстояние ВС на экране Р,отстоящем от конденсатора на l 2=1 м. Решение. Движение электрона внутри конденсатора складывается из двух движений: 1) по инерции вдоль линии АВ с постоянной скоростью
,приобретенной под действием разности потенциалов U 0,которую электрон прошел до конденсатора; 2) равномерно ускоренного движения в вертикальном направлении к положительно заряженной пластине под действием постоянной силы поля конденсатора. По выходе из конденсатора электрон будет двигаться равномерно со скоростью
,которую он имел в точке М в момент вылета из конденсатора.
Из рис. 37 видно, что искомое расстояние | BC|=h 1 +h 2, где с h 1 - расстояние, на которое сместится электрон в вертикальном направлении во время движения в конденсаторе; h 2- расстояние между точкой D на экране, в которую электрон попал бы, двигаясь по выходе из конденсатора по направлению начальной скорости υ 0, и точкой С, в которую электрон попадет в действительности.
Выразим отдельно h 1 и h 2. Пользуясь формулой длины пути равномерно ускоренного движения, найдем
. (1)
где а - ускорение, полученное электроном под действием поля конденсатора; t - время полета электрона внутри конденсатора.
По второму закону Ньютона a=F/m,где F - сила, с которой поле действует на электрон; т- его масса. В свою очередь, F =e∙E=e∙U 1 /d, где е –модуль заряда электрона; U 1 - разность потенциалов между пластинами конденсатора; d - расстояние между ними. Время полета электрона внутри конденсатора найдем из формулы пути равномерного движения
, откуда

где l 1- длина конденсатора в направлении полета электрона. Выражение скорости найдем из условия равенства работы, совершенной полем при перемещении электрона, и приобретенной им кинетической энергии:
. Отсюда
(2)
Подставляя в формулу (1) последовательно значения а, F, t и
из соответствующих выражений, получим 
Длину отрезка h 2найдем из подобия треугольников MDC и векторного:
, (3)
где
- скорость электрона в вертикальном направлении в точке М; l 2 - расстояние от конденсатора до экрана.
Скорость
найдем по формуле
,которая с учетом выражений для а, F и t примет вид
.
Подставив выражение
в формулу (3), получим
или, заменив
по формуле (3), найдем

Окончательно для искомого расстояния | BC | будем иметь
| BC|= 
Подставив значения величин U 1, U 0, d, l 1 и l 2 в последнее выражение и произведя вычисления, получим
| BC |=5,5cм.
Пример 19. Диполь с электрическим моментом р= 2нКл·м находится в однородном электрическом поленапряженностью Е= 30кВ/м. Вектор
составляет угол
=60˚ с направлением силовых линий поля. Определить произведенную внешними силами работу А поворота диполя на угол β=30°.
Решение. Из исходного положения (рис. 38, а)диполь можно повернуть на угол β= 30º = π/6двумя способами: или по часовой стрелке до угла α1 =α0 – β = π/3 – π/6 = π/6(рис. 38, б), или против часовой стрелки до угла α2 = α0 + β= π/3 + π/6 = π/2 (рис. 38, в).
В первом случае диполь будет поворачиваться под действием сил поля. Следовательно, работа внешних сил при этом отрицательна. Во втором случае поворот может быть произведен только под действием внешних сил, и, следовательно, работа внешних сил при этом положительна.
Работу, совершаемую при повороте диполя, можно вычислять двумя способами: 1) непосредственно интегрированием выражения элементарной работы; 2) с помощью соотношения между работой и изменением потенциальной энергии диполя в электрическом поле.
1-й способ. Элементарная работа при повороте диполя на угол α
dA=M∙d
=p∙E ∙ sin
d
,
а полная работа при повороте на угол от
до 

Произведя интегрирование, получим
(1)
Работа внешних сил при повороте диполя по часовой стрелке
мкДж,
против часовой стрелки
мкДж.
2-й способ. Работа А внешних сил связана с изменением потенциальной энергии Δ
соотношением
, где
и
– потенциальные энергии системы соответственно в начальном и конечном состояниях. Так как потенциальная энергия диполя в электрическом поле выражается формулой
,то
(2)
что совпадает с формулой (1), полученной первым способом.
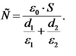
Пример 20. Определить электрическую емкость С плоского конденсатора с двумя слоями диэлектриков: фарфора толщиной d 1 = 2 мм и эбонита толщиной d 2 = 1,5 мм, если площадь S пластин равна 100 см2.
Решение. Емкость конденсатора, по определению,
, где Q - заряд на пластинах конденсатора; U - разность потенциалов пластин. Заменив в этом равенстве общую разность потенциалов U конденсатора суммой U 1 +U 2напряжений на слоях диэлектриков, получим
. (1)
Приняв во внимание, что Q=σ∙S, U 1 = Е 1 d 1=
и U 2 =E 2 d 2 =
, равенство (1) можно переписать в виде
(2)
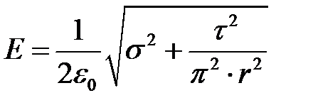
где σ - поверхностная плотность заряда на пластинах; Е 1 и Е 2 - напряженности поля в первом и втором слоях диэлектрика соответственно; D - электрическое смещение поля в диэлектриках.
Умножив числитель и знаменатель равенства (2) на ε0 и учтя, что D=σ,окончательно получим

Сделав вычисления по последней формуле (диэлектрические проницаемости фарфора –
; эбонита –
), найдем
.
Пример 21. Два плоских конденсатора одинаковой электроемкости С 1 =С 2 =С соединены в батарею последовательно и подключены источнику тока с электродвижущей силой E. Как изменится разность потенциалов U 1 н