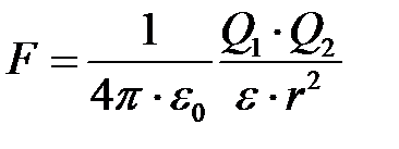
· Закон Кулона
,
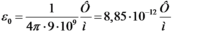
где F — сила взаимодействия двухточечных зарядов Q1 и Q2; r — расстояние между зарядами; e — диэлектрическая проницаемость среды; e0 — электрическая постоянная:
.
,
где
— алгебраическаясумма зарядов,входящихв изолированную систему; n — число зарядов.
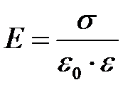
· Напряженность электрического поля
,
где
— сила, действующая на точечный положительный заряд Q, помещенный в данную точку поля.
· Сила, действующая на точечный заряд Q, помещенный в электрическое поле
.
· Поток вектора напряженности
электрического поля:
а) через произвольную поверхность S, помещенную в неоднородное поле,
или
,
где a — угол между вектором напряженности
и нормалью
к элементу поверхности;
— площадь элемента поверхности; En — проекция вектора напряженности на нормаль;
б) через плоскую поверхность, помещенную в однородное электрическое поле
Ф E=Е∙S∙ cosa.
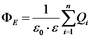
· Поток вектора напряженности
через замкнутую поверхность
,
где интегрирование ведется по всей поверхности.
· Теорема Остроградского — Гаусса. Поток вектора напряженности
через любую замкнутую поверхность, охватывающую заряды Ql, Q2,..., Qn
,
где
— алгебраическая сумма зарядов, заключенных внутри замкнутой поверхности; п — число зарядов.
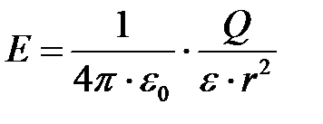
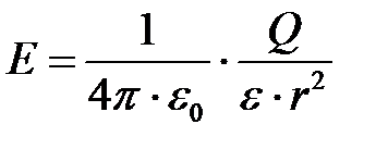
· Напряженность электрического поля, создаваемого точечным зарядом Q на расстоянии r от заряда
.
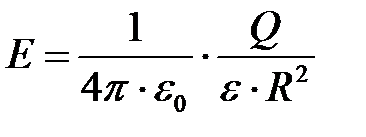
Напряженность электрического поля, создаваемого металлической сферой радиусом R, несущей заряд Q, на расстоянии r от центра сферы:
а) внутри сферы (r<R)E =0;
б) на поверхности сферы (r = R)
;
в) вне сферы (r>R)
.
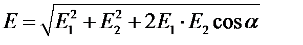
· Принцип суперпозиции (наложения) электрических полей, согласно которому напряженность
результирующего поля, созданного двумя (и более) точечными зарядами, равна векторной (геометрической) сумме напряженностей складываемых полей:
.
В случае двух электрических полей с напряженностями
и
модуль вектора напряженности
,
где a — угол между векторами
и
.
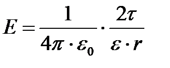
· Напряженность поля, создаваемого бесконечно длинной равномерно заряженной нитью (или цилиндром) нарасстоянии r от ее оси
,
где t — линейная плотность заряда.
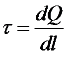
Линейная плотность заряда распределенного по нити (цилиндру) есть величина, равная заряду, приходящемуся на единицу ее длины:

· Напряженность поля, создаваемого бесконечной равномерно заряженной плоскостью,

где s — поверхностная плотность заряда.
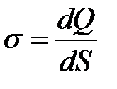
Поверхностная плотность заряда распределенного по поверхности есть величина, равная заряду, приходящемуся на единицу этой поверхности:
.
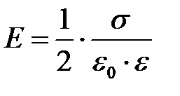
· Напряженность поля, создаваемого двумя параллельными бесконечными равномерно и разноименно заряженными плоскостями, с одинаковой по модулю поверхностной плотностью
заряда (поле плоского конденсатора)
.
Приведенная формула справедлива для вычисления напряженности поля между пластинами плоского конденсатора (в средней части его) только в том случае, если расстояние между пластинами много меньше линейных размеров пластин конденсатора.
· Электрическое смещение
связано с напряженностью
электрического поля соотношением
.
Это соотношение справедливо только дляизотропных диэлектриков.
· Циркуляция вектора напряженности электрического поля есть величина, численно равная работе по перемещению единичного точечного положительного заряда вдоль замкнутого контура. Циркуляция выражается интегралом по замкнутому контуру
, где El – проекция вектора напряженности
в данной точке контура на направление касательной к контуру в той же точке.
В случае электростатического поля циркуляция вектора напряженности равна нулю:
.