· Электрическая емкость уединенного проводника или конденсатора
,
где Δ Q - заряд, сообщенный проводнику (конденсатору); Δ φ - изменение потенциала, вызванное этим зарядом.
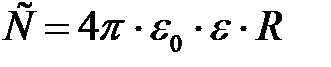
· Электрическая емкость уединенной проводящей сферы радиусом R, находящейся в бесконечной среде с диэлектрической проницаемостью ε

Если сфера полая и заполнена диэлектриком, то электроемкость ее от этого не изменяется.
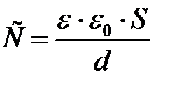
· Электрическая емкость плоского конденсатора
,
где S - площадь пластин (каждой пластины); d - расстояние между ними; ε – диэлектрическая проницаемость диэлектрика, заполняющего пространство между пластинами.
Электрическая емкость плоского конденсатора, заполненного п слоями диэлектрика толщиной di каждый с диэлектрическими проницаемостями
, (слоистый конденсатор)

· Электрическая емкость сферического конденсатора (две концентрические сферы радиусами R 1и R 2, пространство между которыми заполнено диэлектриком с диэлектрической проницаемостью ε)

· Электрическая емкость цилиндрического конденсатора (два коаксиальных цилиндра длиной l и радиусами R 1и R 2, пространство между которыми заполнено диэлектриком с диэлектрической проницаемостью ε)
|
|
|

· Электрическая емкость С последовательно соединенных конденсаторов:
в общем случае
где п - число конденсаторов;
в случае двух конденсаторов 
в случае п одинаковых конденсаторов с электроемкостью С1 каждый
C=C 1 /n.
· Электрическая емкость параллельно соединенных конденсаторов:
в общем случае C=C 1 +C 2 +...+C n;
в случае двух конденсаторов C=C 1 +C 2;
в случае п одинаковых конденсаторов с электроемкостью С1 каждый C=n∙C 1.






