2.1 Расчет мощности и выбор электродвигателя пневмопривода
Механизм выдвижения руки осуществлен от пневмопривода, основой которого является компрессор. В качестве приводного двигателя предполагается использовать асинхронный короткозамкнутый двигатель.
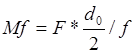
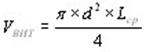
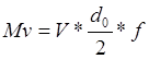
Мощность двигателя компрессора Рк, Вт, определяется по формуле
,
где
- коэффициент запаса, равный 1,1 - 1,2;
Q – производительность, м
/с; 0,004
H – нaпор (давление) rаза, Па. 2,3
1082,35 Вт.
Выбираем для компрессора асинхронный двигатель исходя из условия
.
По справочнику выбираем двигатель типа 4А71А4У3, паспортные данные которого заносим в таблицу 1[Алиев, с.101, табл. 7.3.1].
Таблица 1- Технические параметры двигателя 4А80А4У3
| РРном, кВт | nном, об/мин | η, % | cos φ | | | | |
| 1,1 | 0,81 | 2,2 | 1,6 |
Выбранный двигатель работает в продолжительном режиме, поэтому проверка двигателя не требуется.
2.2 Расчет мощности и выбор электродвигателя поворота стойки ПР
Определить вертикальное усиление V, Н, действующее на опору

где
- вес стойки и руки, Н; 2000
|
|
|
– вес заготовки, Н. 150

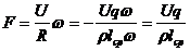
Определить горизонтальное усиление F, Н, действующее в опоре
,
где
– диаметр опоры, м; 0,15
– высота опоры, м. 1,1

Определить моменты трения в опоре от вертикального
, Н*м, и горизонтального
, Н*м, усилий
,

где
- диаметр цапфы, м; 0,15
- коэффициент трения. 0,05


Определить момент сопротивления, Н*мм, в опоре
,

Определить момент сопротивления
, Н*м, приведенный к валу электродвигателя
,
где
= 2 - передаточное отношение редуктора;
η – кпд редуктора. 0,79

Выбрать электродвигатель по рассчитанным и, технические параметры занести в таблицу
| P н кВт | U н В | n н об/м | n max об/м | Ƞ % | R я Ом | R дп Ом | R ов Ом | L я мГн |
| 0,37 | 59,5 | 11,78 | 6,7 |
Назначение и область применения конструкции
Электромагнит М-2 относится к простейшим электромагнитным приводам, которые осуществляют поступательное, вращательное или сложные движения, в основном, тянущего или толкающего действия. Они сопрягаются с нагрузкой напрямую без каких-либо элементов сопряжения, и нашли применение в электромагнитных клапанах, контакторах, реле, фиксаторах, стопорах, замках т.п.
Электромагнит М-2 используется в качестве привода клапана в системе регулирования уровня жидкости. При подаче управляющего напряжения на катушку электромагнита якорь втягивается и обеспечивается заданный рабочий ход, при этом, в зависимости от конструктивного исполнения, открывается или закрывается клапан.
Условия эксплуатации электромагнита М-2 предполагают его использование в помещениях, а также на открытом воздухе при температурах (-30÷+40)м/span>С, влажность 75%. Условия эксплуатации также накладывают требования к материалам конструкции, которые должны обеспечить надежную работу устройства в течение всего периода эксплуатации.
|
|
|
2 Техническая характеристика электромагнита М-2
1 Габаритные размеры, мм – 305×110×84
2 Напряжение питания Uпит = 220 В
3 Частота напряжения питания f = 50 Гц
4 Максимальное значение магнитной индукции Bm = 0,94*10-4 Вб/см3
5 Индуктивное сопротивление RL = 61,12 Ом
6 Потребляемая мощность Р = 946 Вт
7 Тяговое усилие 20 кг
8 Режим работы – повторно-кратковременный
9 Рабочее положение – любое
3 Описание и обоснование выбранной конструкции электромагнита
https://www.support17.com/component/content/91.html?task=view
Электромагнит состоит из корпуса 7, внутри которого находятся катушка, сердечник 8 и якорь 10. Сердечник и корпус соединены винтами 13. К корпусу присоединены также кольцо 6 и гайка 5, служащая для регулировки и ограничения хода якоря.
В сердечнике выполнено дренажное отверстие (d = 4 мм) для сообщения области рабочего зазора с окружающей средой и снижения демпфирования, увеличения полезной работы, быстродействия. Форма стопа сердечника плоская.
Для уменьшения вихревых токов (повышения быстродействия) якорь по наружной поверхности имеет узкие продольные пазы.
Клеммы 1 крепятся к сердечнику 8 винтами 12. Клемма 1 отлита из пластмассы ПСМ-11 ГОСТ 20282-86 вместе с лепестком (латунь Л90 ГОСТ 15527-70). Катушка состоит из втулки 3, шайбы 9 и обмотки 2.
Втулка используется в качестве каркаса катушки и направляющей якоря. Изготовлена из бронзы БрАЖ9-4, обладающей повышенными показателями антифрикционности. Толщина выбирается конструктивно из условия обеспечения механической прочности. Для электромагнитов, работающих без избыточного давления, наружный диаметр направляющей втулки обычно составляет (1,1…1,15) от внешнего диаметра катушки.
Шайбы предназначены для фиксации катушки и ее изоляции от корпуса. Материал – гетинакс электротехнический толщиной 3 мм (ГОСТ 2118-74).
Выводы обмотки через отверстия в сердечнике подводятся к лепесткам клемм и припаиваются. К свободным концам лепестков подводится напряжение питания.
При прохождении тока форсировки якорь притягивается к сердечнику. После импульса форсирующего тока в катушке протекает ток удержания. Рабочий ход якоря составляет 4 мм.
Детали магнитопровода (корпус, якорь, сердечник) изготавливаются из низкоуглеродистой электротехнической стали марки 11895 (ГОСТ 11036-75).
Втулка 4 изготовлена из пластмассы ПСМ-11 ГОСТ 20282-86.
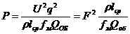
4 Расчеты подтверждающие работоспособность и надежность конструкции
4.1 Расчет параметров электромагнита
1 Исходными данными для расчета являются:
· усилие электромагнита Q =60 кг;
· напряжение питания U = 220 В;
· ход якоря A = 6 мм.
Рассчитываются конструктивные параметры электромагнита.
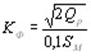
2 Конструктивный фактор определяется по формуле

где Qр – расчетное усилие электромагнита Qр = (1,1÷1,15)Q, кг;
SM – магнитный зазор SM = A + (0,1÷0,5), мм.

3 Максимальное значение магнитной индукции Bm определяют исходя из значений конструктивного фактора по графику, оно составляет 0,94*10-4 Вб/см3.
4 Сечение сердечника электромагнита определяется по формуле (мм2)

мм2
5 Приведенное значение индукции B = Bm.
6 Число витков провода катушки определяется по формуле

где fЭ – частота сети, Гц;
UР – расчетное эффективное напряжение сети, при котором должно быть обеспечено расчетное усилие электромагнита UР = (0,75÷1)U, В.
fЭ – частота сети, Гц.
витков
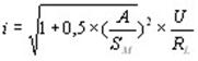
7 Индуктивное сопротивление электромагнита определяется

Ом
8 Эффективное значение тока определяется как

А
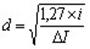
9 Диаметр провода обмотки катушки без изоляции определяется по формуле

где ΔI – дополнительное значение плотности тока (2÷6), А/мм2.
мм
Для намотки катушки выбираем провод марки ПЭЛ d = 1,1 мм, dиз = 0,2 мм.
Диаметр провода с изоляцией dпр = 1,3 мм.
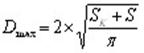
10 Расчетное сечение катушки определяется
|
|
|

где КЗС – коэффициент заполнения сечения катушки, который выбирается в зависимости от условий намотки катушки и диаметра провода
Sк=
мм2
11 Длина катушки определяется по формуле

где VK – объем катушки.
Объем катушки можно найти по формуле

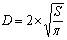
где VВИТ – объем одного витка, который определяется как


где Dmax и D – наружный и внутренний диаметры катушки.

Dmax=
мм

D=
мм
Lср= 2*π*Dср=
мм
Vвит=
мм3
Vk=
мм3
Lk=
мм
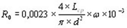
12 Активное сопротивление катушки определяется по формуле

R0=
Ом
13 Мощность, затрачиваемая на нагрев, определяется как

Вт
14 Проверка правильности расчета электромагнита производится по коэффициенту охлаждения и уточнению усилия.
Коэффициент охлаждения рассчитывается по формуле

где Sпов – площадь поверхности катушки.

мм2
мм2/Вт
Рассчитанное значение соответствует требованию к величине Кохл.
15 Определяется отношение активного сопротивления к индуктивному, при R = R0.

q = 
Согласно значения q по графику значения коэффициента усилия определяется коэффициент усилия СС. Для q = 1,044 CС составляет 0,5.
В результате проведения расчета определены основные параметры электромагнита:
· длина катушки 777 мм;
· сечение сердечника электромагнита 3493.17 мм2;
· сечение катушки 1767 мм2;
· число витков 523;
· наружный диаметр катушки 75.13 мм;
· внутренний диаметр катушки 66.71мм;
· провод обмотки ПЭЛ d = 1,29 мм.
Заключение
В курсовом проекте разработана конструкция электромагнита М-2, рассчитана катушка электромагнита, выбраны материалы деталей в зависимости от условий эксплуатации.
Разработаны чертежи деталей, сборочный чертеж электромагнита, техническое задание.
В результате расчета магнитной цепи определяется необходимая МДС обмотки. Обмотка должна быть рассчитана таким образом, чтобы, с одной стороны, обеспечить требуемую МДС, а с другой — чтобы ее максимальная температура не превышала допустимой для используемого класса изоляции.
В зависимости от способа включения различают обмотки напряжения и обмотки тока. В первом случае напряжение, приложенное к обмотке, постоянно по своему действующему значению, во втором - сопротивление обмотки электромагнита намного меньше сопротивления остальной части цепи, которым и определяется неизменное значение тока.
|
|
|
Расчет обмотки электромагнита постоянного тока.
На рис. 4.8 показаны магнитопровод и катушка электромагнита. Обмотка 1 катушки выполняется изолированным проводом, который наматывается на каркас 2.
Катушки могут быть и бескаркасными. В этом случае витки обмотки скрепляются ленточной или листовой изоляцией либо заливочным компаундом.
Для расчета обмотки напряжения должны быть заданы напряжение
и МДС. Сечение обмоточного провода
находим, исходя из потребной МДС:
, (4.13)
откуда
, (4.14)
где
- удельное сопротивление;
- средняя длина витка (рис. 4.8);
- сопротивление обмотки, равное
.
Из (4.13) следует, что при неизменной средней длине витка
и заданном
МДС определяется произведением
.
Если при неизменном напряжении и средней длине витка требуется увеличить МДС, то необходимо взять провод большего сечения. При этом обмотка будет иметь меньшее число витков. Ток в обмотке возрастет, так как сопротивление ее уменьшится за счет уменьшения числа витков и увеличения сечения провода.
По найденному сечению с помощью таблиц сортаментов находится ближайший стандартный диаметр провода.
Мощность, выделяющаяся в обмотке в виде тепла, определяется следующим образом:
.
Число витков обмотки при заданном сечении катушки
определяется коэффициентом заполнения по меди
, где
– площадь, занимаемая медью обмотки;
– сечение обмотки по меди. Число витков
. Тогда мощность, потребляемая обмоткой, определится выражением
.
Для расчета обмотки тока исходными параметрами являются МДС и ток цепи
. Число витков обмотки находится из выражения
. Сечение провода можно выбрать исходя из рекомендуемой плотности тока, равной 2…4 А/мм2 для продолжительного, 5…12 А/мм2 для повторно-кратковременного, 13…30 А/мм2 для кратковременного режимов работы. Эти значения можно увеличить примерно в 2 раза, если срок службы обмотки и электромагнита не превышает 500 ч. Площадь окна, занимаемого рядовой обмоткой, определяется числом витков и диаметром провода
.
Зная
, можно определить среднюю длину витка, сопротивление обмотки и потери в ней. После этого может быть проведена оценка нагрева обмотки.
Расчет обмотки электромагнитов переменного тока.
Исходными данными для расчета обмотки напряжения являются амплитуды МДС, магнитного потока и напряжение сети. Напряжение сети уравновешивается активным и реактивным падениями напряжения
, (4.15)
где
и
– действующие значения напряжения и тока, соответственно.
Поскольку ток и сопротивление могут быть рассчитаны только после определения числа витков, то формула (4.15) не позволяет сразу найти все параметры обмотки. Задача решается методом последовательных приближений.
Так как активное падение напряжения значительно меньше реактивного, то в начале расчета принимают
.
Тогда число витков обмотки
.
Поскольку при расчете
мы пренебрегли активным падением напряжения, то действительное число витков должно быть несколько меньше. Обычно
. Тогда
.
Сечение провода определяют, задавшись плотностью тока в зависимости от режима работы. Выбрав стандартный диаметр и способ укладки провода, находим коэффициент заполнения
и площадь окна обмотки
.
После этого определяем среднюю длину витка
и активное сопротивление обмотки
.
Если после подстановки полученных данных в (4.15) левая часть отличается от правой более чем на 10 %, то необходимо варьировать число витков до получения удовлетворительного совпадения.
После расчета
проводится проверка обмотки на нагрев. Расчет ведется так же, как и для обмоток постоянного тока.
Особенностью является нагрев магнитопровода за счет потерь от вихревых токов и гистерезиса. Отвод выделяемого в обмотке тепла через сердечник затруднен, точка с максимальной температурой лежит на внутреннем радиусе обмотки. Для улучшения охлаждения стремятся увеличивать поверхность торцов катушки при уменьшении ее длины.






