Исследование общего уравнения плоскости
Общее уравнение плоскости
Тема. Уравнение плоскости
Литература
2. Уравнение плоскости “в отрезках”
| О п р е д е л е н и е 1. Общим уравнением плоскости называется линейное уравнение первой степени относительно трех переменных: х, у и z, т.е. уравнение вида Ax + By + Cz + D = 0. (1) Коэффициенты при х, у и z являются координатами вектора, который перпендикулярен плоскости. | |
О п р е д е л е н и е 2. Всякий вектор, перпендикулярный плоскости, называется нормальным вектором этой плоскости.
Если известна фиксированная точка M 0 (x 0, y 0, z 0), лежащая в данной плоскости, и вектор
, перпендикулярный данной плоскости, то уравнение плоскости, проходящей через точку M 0 (x 0, y 0, z 0), перпендикулярно вектору
, имеет вид
A (x-x 0) + B (y-y 0) + C (z-z 0)= 0. (2)
Покажем, что уравнение (2) является общим уравнением плоскости (1). Для этого раскроем скобки и соберем в скобки свободный член:
. Ax + By+ Cz + (-Ax 0 - By -Cz 0)= 0
Обозначив D = -Ax 0 - By -Cz 0, получим уравнение Ax + By + Cz + D = 0.
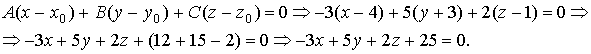
Задача 1. Составить уравнение плоскости, проходящей через точку А, перпендикулярно вектору
, если A (4, -3, 1), B (1, 2, 3).
Решение. Найдем нормальный вектор плоскости
:
.
Для нахождения уравнения плоскости используем уравнение (2):

Ответ: -3 x + 5 y + 2 z + 25 = 0.
Задача 2. Составить уравнение плоскости, проходящей через точку M 0 (-1, 2, -1), перпендикулярно оси OZ.
Решение. В качестве нормального вектора искомой плоскости можно взять любой вектор, лежащий на оси OZ, например,
, тогда уравнение плоскости

Ответ: z + 1 = 0.
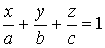
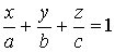
2. Уравнение плоскости “в отрезках”
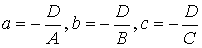
Рассмотрим общее уравнение плоскости Ax + By + Cz + D = 0. Перенесем свободный член в правую часть уравнения и разделим обе части уравнения на (– D). | |
Обозначив
, получим уравнение плоскости “в отрезках”
, (3)
где a, b, c – это отрезки, которые отсекает плоскость от координатных осей.
Задача 1. Найти точки пересечения плоскости 2 x - 3 y - 4 z -24 = 0 с осями координат.
Решение. Приведем уравнение плоскости к уравнению “в отрезках”:
Тогда координаты точек M 1 (12, 0, 0), M 2 (0, -8, 0), M 3 (0, 0, -6). Ответ: M 1 (12, 0, 0), M 2 (0, -8, 0), M 3 (0, 0, -6). | |
Задача 2. Плоскость проходит через точку M 1 (6, -10, 1) и отсекает на оси абсцисс отрезок а = -3 и на оси аппликат - отрезок с = 2. Составить для этой плоскости уравнение “в отрезках”.
Решение. Уравнение “в отрезках”
. Найдем значение отрезка b. Для этого подставим в данное уравнение координаты точки M 1.
.
Ответ:
.
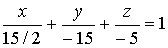
Задача 3. Составить уравнение плоскости, отсекающей на оси OZ отрезок с = -5, перпендикулярно к вектору
.
Решение. Будем использовать общее уравнение плоскости
.
Приведем полученное уравнение к уравнению “в отрезках”:
;
,
где
, но
. Тогда
и b = -15, и уравнение плоскости имеет вид
.
Приведем это уравнение к общему уравнению плоскости
.
Ответ: 2 x - y - 3 z - 15 = 0.
Тогда координаты точек M 1 (12, 0, 0), M 2 (0, -8, 0), M 3 (0, 0, -6). Ответ: M 1 (12, 0, 0), M 2 (0, -8, 0), M 3 (0, 0, -6).