Пусть имеем n взаимно незав. СВ: Х1, Х2,…, Хn с одинаковыми з-ми распределения, а значит, с равными МО, дисперсиями и СКО: mx1=mx2=…=mxn=a
D(X1)=D(X2)=…=D(Xn)=D; σ(Х1)=σ(Х2)=…=σ(Хn)=σ
Найдем след.числовые хар-ки ср.значен.этих СВ: 
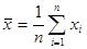
1)МО СВ Х‾: 
МО ср.знач.нес-ких СВ=МО каждой из них
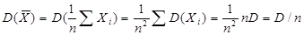
2)дисперсия: 
Дисперсия ср.арифметического n взаимно незав. СВ в n раз меньше дисперсии кадой из них.
3)СКО:
. СКО ср.знач. n взаимно незав. СВ в √n раз меньше СКО каждой из них
Полученные результаты имеют практич.значение. Отдельные измерения нек-рой величины смогут значит. отличаться друг от друга (вследствие случ.ошибок), т.е. дисперсия (СКО) отдельных измерений м.б.дост. велика, а ср.знач. отдельных измерений дает результат тот более надежный для измеряемой величины, чем каждое из отдельных измерений, т.к. его дисперсия в n раз меньше






