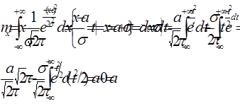
Опр: Нормальным назыв.распределение Св с плотностью
(1)
Из формулы (1) следует, что нормальное распределение определ.двумя параметрами а и σ, поэтому его обозначают N(a,σ)
Возможные значения нормального распредел.принадл.всей числовой оси ОХ. Найдем МО нормального распределения: 
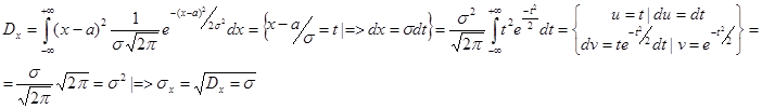
Найдём теперь дисперсию нормального распределения: 
Т.О смысл параметров нормального распределения N(a,σ), то МО М(х0)=M((x-a)/σ)= 1/σ M(x-a)=1/σ *0=0
Dx0=D((x-a)/σ)= 1/σ2 D(x-a)=1/σ2 *Dx=1/σ2*σ2=1
Плотность нормированного распределения имеет вид:φ(х)=1/(√2П)*е –х2/2
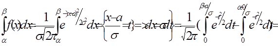
Вероятность попадания нормально распределенной СВ в заданный интервал.
Пусть СВ Х имеет нормальное распределение N(a,σ). Найдём Р(α<x<β). Имеем, что Р(α<x<β)=
Ф((β-α)/σ) - Ф((α- β)/σ)
Т.О для нормального распределения N(a,σ) имеем что Р(хÎ(α;β))=Ф((β-α)/σ) - Ф((α- β)/σ) (1)
Рассмотрим чвстный случай когда интервал симметричен относит.МО |x-a|<εó a-ε<x<a+ε
Из формулы (1) имеем: Р(x-a|<ε)= Ф((a+ε-a)/σ) - Ф((a-ε-a)/σ)= Ф(ε/σ) - Ф(-ε/σ)=2Ф(ε/σ) (2)
|
|
|
Величина Х –как известно назыв.отклонением СВ от её МО, т.о формула (2) даёт способ вычислить вероятность того, что модуль отклонения СВ Х с нормальным распределением N(a,σ), не будет превышать величины ε.
Формула (1) и (2) Ф(х)- ф-ция Лапласа.
Примем в формуле (2) ε=3σ, тогда Р(x-a|<3σ)= 2Ф(3σ /σ)=2Ф(3)=0,9973
Т.е вероятность того,что модуль отклонения СВ Х от mx=a не превышает величины равной утроенному СКО,очень близка к1
Другими словами это событие практически почти достоверно, с др.стороны вероятность противоположного события |x-a|>3σ равное P(|x-a|>3σ)=1-P(|x-a|>3σ)=1-0,9973=0,0027 – весьма мала, т.е на практике такое отклонение будет наблюдаться 0,27% случаев, что можно считать практически невозможным.
Из рассмотренного вытекает так назыв. «правило 3-х сигм». Если СВ Х распредел.нормально, то её отклонение от МО по модулю не превышает утроенного СКО.
Это правило применяется для исключения грубых ошибок при наблюдениях СВ обусловленных не закономерными случ.причинами, а грубым промахом- экспериментатора, например отчет по др. шкале приборов. Если результат наблюдения отлич.от МО по модулю больше, чем на 3σ, то его отбрасывают.
Пример. Реш-е: Х – СВ – улов рыбы за Т.
Р(Х≥20)=Р(20≤Х≤+∞)=Ф(+∞)-Ф((20-30)/10)=0,5+Ф(1)=0,5+0,3413=0,8413
Теорема (центральная придельная теорема Ляпунова): если СВ Х явл.суммой очень большого числа взаимно незавсисимых СВ, влияние каждой из которых на всю сумму очень мало, то СВ Х имеет распределение, близкое к нормальному.
Из теоремы следует, что каждое слагаемое может иметь люб.распределение, но при выполн.усл.теоремы эта сумма слагаемых распределена приблизительно нормально.
|
|
|
Например, при измерении некоторой величины на результат измерения влияет множество случайных факторов (погрешность приборов, температура, давление среды и т.д.)
Каждый который вносит в результат измерения свою долю суммарной ошибки, считая, что все факторы влияют независимо др.от друга, их очень много и влияние каждого на суммарную ошибку мало, следует предположить, что суммарная ошибка распределена нормально.