Плотностью распределения НСВ назыв.1-ая производная ФР: f(x)=F’(x)
Согласно определению ФР явл.п/о для плотности распределения. Очевидно, что плотность распредел.непременима для описания ДСВ.
Св-ва плотности распределения:
1) Плотность распределения неотрицательна: f(x)≥0
св-во вытекает из того, что ФР неубывающая и значит её производная F’(x)=f(x)≥0
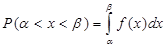
2) Вероятность попадания НСВ Х в интервал (α;β) или отрезок [α;β], где α<β равно определ.интегралу от плотности распределения на интервале (α;β): 
док-во: 
3) Несобственный интеграл от плотности распределения в интервале(-∞;+∞) равен 1: 
Док-во: Учитывая 2), интеграл слева в формуле равен вероятности попадания СВ в интервал (-∞;+∞). Это событие очевидно достоверно, поэтому его вероятность равна 1.
Следствие: Если НСВ ХÎ(α;β), то 