Пусть все возможные значения НСВ ХÎ[a,b], разобьем отрезок на n частных отрезков внутри длиной ∆xi. Выберем произвольно внутри каждого частного отрезка точку XiBH и будем приближенно считать, что все возможные значения СВ Х из данного частичного отрезка сосредоточены в точке XiBH, а вероятность того значения равна вероятности попадание СВ Х в этот частный отрезок длиной ∆xi: Pi=P(xi-1≤x≤xi)=F(xi)-F(xi-1)=(dF(x))i=F’(XiBH)∆xi=f(XiBH)∆xi
Взяв сумму произведений Pi XiBH по всем частичным интервалам получим приближенно МО СВ Х, кот.мы представляли как ДСВ: М(Х)= Σ XiBH f(XiBH)∆xi
Переходя к пределу при n→∞ и Xi max→∞ получим определ.интеграл:
(1)
Если возможные значения НСВ Х принадлежат всей оси ОХ, то интервал (1) становится несобственным:
(2), при этом требуется абсолютная сходимость интеграла(2)
Дисперсией НСВ аналогично с ДСВ назыв. МО квадрата отклонения СВ Х от её МО
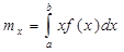
Если НВС ХÎ(a,b), то дисперсия
(3). Формула (3) не очень удобна для вычислений, поэтому получим др.формулу. И имеем, что: 

Т.О получена след.формула для вычисл.дисперсии:
|
|
|
Dx=M(X)2-m2x
Аналогично с ДСВ для НСВ определ.СКО: значению σх =√Dx
Все св-ва МО и дисперсии рассмотренные для ДСВ справедливы и для НСВ.
23. Равномерное распределение. Распределение
. Распределение Стьюдента.
Равномерное распределение НСВ.
Опр: равномерным назыв.распределение НСВ, плотность распределения вероятностей которой постоянна в интервале, кот.принадлежат все возможные значения СВ.
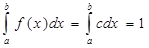
Пусть НСВ ХÎ(a,b), тогда по св-ву 3) плотности распределения имеем, что:
|=> с(b-a)=1, где a<b |=> Плотность равномерного распредел.имеет вид: f(x) = система [0, если a≤x; 1/(b-a), если a<x≤b; 0,если x>b]
Найдём числовые хар-ки равномерного распределения:
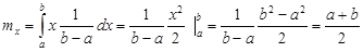
1) МО: 
2)дисперсия:
=(b3-a3)/3(b-a) – (a2+2ab+b2)/4= (a2+ab+b2)/3 - (a2+2ab+b2)/4=(a2-2ab+b2)/12= (a-b)2/12
3)СКО: σх =√Dx=(b-a)/2√3=0,29
Равномерное распределение на практике встречается например, при округлении показателей измерит.прибора до ближайшего целого значения шкалы. Ошибка округления равна ±0,5 цены деления распределена по равномерному закону.
Распределение «хи квадрат»
Пусть Xi(i = 1, 2,..., n) — нормальные независимые случайные величины, причем математическое ожидание каждой из них равно нулю, а среднее квадратическое отклонение-единице. Тогда сумма квадратов этих величинраспределена по закону
(«хи квадрат») с k = n степенями свободы; если же эти величины связаны одним линейным соотношением, например
Σ Xi =nX’, то число степеней свободы k=n-1/
распределение «хи квадрат» определяется одним параметром—числом степеней свободы k.
С увеличением числа степеней свободы распределение медленно приближается к нормальному.
|
|
|
Пусть Z—нормальная случайная величина, причем M(Z) = Q, σ(Z) = l, а V — независимая от Z величина, которая распределена по закону
с k степенями свободы. Тогда величина T=Z/(√V/k|), имеет распределение, которое называют t-распределением или распределением Стьюдента, с k степенями свободы.
Итак, отношение нормированной нормальной величины к квадратному корню из независимой случайной величины, распределенной по закону «хи квадрат» с k степенями свободы, деленной на k, распределено по закону Стьюдента с k степенями свободы.
С возрастанием числа степеней свободы распределение Стьюдента быстро приближается к нормальному.