§ 15. Удар абсолютно упругих и неупругих тел
Примером применения законов сохранения импульса и энергии при решении реальной физической задачи является удар абсолютно упругих и неупругих тел.
Удар (или соударение)—это столкновение двух или более тел, при котором взаимодействие длится очень короткое время. Помимо ударов в прямом смысле этого слова (столкновения атомов или биллиардных шаров) сюда можно отнести и такие, как удар человека о землю при прыжке с трамвая и т. д. Силы взаимодействия между сталкивающимися телами (ударные или мгновенные силы) столь велики, что внешними силами, действующими на них, можно пренебречь. Это позволяет систему тел в процессе их соударения приближенно рассматривать как замкнутую систему и применять к ней законы сохранения.

Тела во время удара претерпевают деформацию. Сущность удара заключается в том, что кинетическая энергия относительного движения соударяющихся тел на короткое время преобразуется в энергию упругой деформации. Во время удара имеет место перераспределение энергии между соударяющимися телами. Наблюдения показывают, что относительная скорость тел после удара не достигает своего прежнего значения. Это объясняется тем, что нет идеально упругих тел и идеально гладких поверхностей. Отношение нормальных составляющих относительной скорости тел после и да удара называется коэффициентом восстановления e:

Если для сталкивающихся тел e=0, то такие тела называются абсолютно неупругими, если e=1 — абсолютно упругими. На практике для всех тел 0 < e < 1 (например, для стальных шаров e»0,56, для шаров из слоновой кости e»0,89, для свинца e»0). Однако в некоторых случаях тел а можно с большой степенью точности рассматривать либо как абсолютно упругие, либо как абсолютно неупругие.
Прямая, проходящая через точку соприкосновения тел и нормальная к поверхности их соприкосновения, называется линией удара. Удар называется центральным, если тела до удара движутся вдоль прямой, проходящей через их центры масс. Мы будем рассматривать только центральные абсолютно упругие и абсолютно неупругие удары.
Абсолютно упругий удар — столкновение двух тел, в результате которого в обоих взаимодействующих телах не остается никаких деформаций и вся кинетическая энергия, которой обладали тела до удара, после удара снова превращается в кинетическую энергию (подчеркнем, что это идеализированный случай).
Для абсолютно упругого удара выполняются закон сохранения импульса и закон сохранения кинетической энергии.
Обозначим скорости шаров массами т 1 и m 2 до удара через v1 и v2, после удара—через
и
(рис. 18). В случае прямого центрального удара векторы скоростей шаров до и после удара лежат на прямой линии, соединяющей их центры. Проекции векторов скорости на эту линию равны модулям скоростей. Их направления учтем знаками: положительное значение припишем движению вправо, отрицатель-нос — движению влево.

При указанных допущениях законы сохранения имеют вид
(15.1)
(15.2)
Произведя соответствующие преобразования в выражениях (15.1) и (15.2), получим
(15.3)
(15.4)
откуда
(15.5)
Решая уравнения (15.3) и (15.5), находим
(15.6)
(15.7)
Разберем несколько примеров.
1. При v 2=0
(15.8)
(15.9)
Проанализируем выражения (15.8) в (15.9) для двух шаров различных масс:
а) т 1 =т 2. Если второй шар до удара висел неподвижно (v 2=0) (рис. 19), то после удара остановится первый шар (
= 0), а второй будет двигаться с той же скоростью и в том же направлении, в котором двигался первый шар до удара (
);
б) т 1> т 2. Первый шар продолжает двигаться в том же направлении, как и до удара, но с меньшей скоростью (
<v 1). Скорость второго шара после удара больше, чем скорость первого после удара (
>
) (рис. 20);
в) т 1< т 2. Направление движения первого шара при ударе изменяется—шар отскакивает обратно. Второй шар движется в ту же сторону, в которую двигался первый шар до удара, но с меньшей скоростью, т. е.
<v 1 (рис. 21);
г) т 2>> т 1 (например, столкновение шара со стеной). Из уравнений (15.8) и (15.9) следует, что
= –v 1,
»2 m 1 v 1 / m2»0.

2. При т 1= т 2 выражения (15.6) и (15.7) будут иметь вид

т. е. шары равной массы «обмениваются» скоростями.
Абсолютно неупругий удар — столкновение двух тел, в результате которого тела объединяются, двигаясь дальше как единое целое. Продемонстрировать абсолютно неупругий удар можно с помощью шаров из пластилина (глины), движущихся навстречу друг другу (рис. 22).
Если массы шаров т 1 и т 2, их скорости до удара v1 и v2, то, используя закон сохранения импульса, можно записать

где v — скорость движения шаров после удара. Тогда
(15.10)
Если шары движутся навстречу друг другу, то они вместе будут продолжать двигаться в ту сторону, в которую двигался шар, обладающий большим импульсом. В частном случае, если массы шаров равны (т 1= т 2), то

Выясним, как изменяется кинетическая энергия шаров при центральном абсолютно неупругом ударе. Так как в процессе соударения шаров между ними действуют силы, зависящие не от самих деформаций, а от их скоростей, то мы имеем дело с силами, подобными силам трения, поэтому закон сохранения механической энергии не должен соблюдаться. Вследствие деформации происходит «потеря» кинетической энергии, перешедшей в тепловую или другие формы энергии. Эту «потерю» можно определить по разности кинетической энергии тел до и после удара:

Используя (15.10), получаем

Если ударяемое тело было первоначально неподвижно (v 2 = 0), то


Когда m 2>> m 1 (масса неподвижного тела очень большая), то v << v 1 и почти вся кинетическая энергия тела при ударе переходит в другие формы энергии. Поэтому, например, для получения значительной деформации наковальня должна быть массивнее молотка. Наоборот, при забивании гвоздей в стену масса молотка должна быть гораздо большей (m 1>> m 2 ), тогда v»v 1 и практически вся энергия затрачивается на возможно большее перемещение гвоздя, а не на остаточную деформацию стены.
Абсолютно неупругий удар — пример того, как происходит «потеря» механической энергии под действием диссипативных сил.
Задачи
3.1. Определить: 1) работу поднятия груза по наклонной плоскости; 2) среднюю и 3) максимальную мощности подъемного устройства, еслимасса груза 10 кг, длина наклонной плоскости 2 м, угол ее наклона к горизонту 45°, коэффициент трения 0,1 и время подъема 2 с. [1) 173 Дж; 2) 86 Вт; 3) 173 Вт]
3.2. С башни высотой 35 м горизонтально брошен камень массой 0,3 кг. Пренебрегая сопротивлением воздуха, определить: 1) скорость, с которой брошен камень, если через 1 с после начала движения его кинетическая энергия 60 Дж: 2) потенциальную энергию камня через 1 с после начала движения. [1) 17,4 м/с; 2) 88,6 Дж]
3.3. Пренебрегая трением, определить наименьшую высоту, с которой должна скатываться тележка с человеком по желобу, переходящему в петлю радиусом 10 м, чтобы она сделала полную петлю и не выпала из желоба. [25 м]
3.4. Пуля массой m =10 г, летевшая горизонтально со скоростью v =500 м/с, попадает в баллистический маятник длиной l =1 м и массой M= 5 кг и застревает в нем. Определить угол отклонения маятника. [18°30']
3.5. Зависимость потенциальной энергии частицы в центральном силовом поле от расстояния r до центра поля задается выражением П (r) =
, где А и В — положительные постоянные. Определить значение r 0, соответствующее равновесному положению частицы. Является ли это положение положением устойчивого равновесия? [ r 0 = 2 A/B ]
3.6. При центральном абсолютно упругом ударе движущееся тело массой т 1 ударяется о покоящееся тело массой m 2, в результате чего скорость первого тела уменьшается в n =1,5 раза. Определить: 1) отношение m 1 /m 2; 2) кинетическую энергию Т 2 второго тела, если первоначальная кинетическая энергия первого тела T 1=1000 Дж. [1) 5; 2) 555 Дж]
3.7. Тело массой т 1 = 4 кг движется со скоростью v 1=3 м/с и ударяется о неподвижное тело такой же массы. Считая удар центральным и неупругим, определить количество теплоты, выделившееся при ударе. [9 Дж]
Глава 4 Механика твердого тела
§ 16. Момент инерции
При изучении вращения твердых тел будем пользоваться понятием момента инерции. Моментом инерции системы (тела) относительно данной оси называется физическая величина, равная сумме произведений масс л материальных точек системы на квадраты их расстояний до рассматриваемой оси:

В случае непрерывного распределения масс эта сумма сводится к интегралу

где интегрирование производится по всему объему тела. Величина r в этом случае есть функция положения точки с координатами х, у, z.
В качестве примера найдем момент инерции однородного сплошного цилиндра высотой h и радиусом R относительно его геометрической оси (рис. 23). Разобьем цилиндр на отдельные полые концентрические цилиндры бесконечно малой толщины d r с внутренним радиусом r и внешним r +d r. Момент инерции каждого полого цилиндра d J=r 2d m (так как d r<<r, то считаем, что расстояние всех точек цилиндра от оси равно r), где dm — масса всего элементарного цилиндра; его объем 2p rh d r. Если r— плотность материала, то dm= 2p rhr d r и d J=2phrrз d r. Тогда момент инерции сплошного цилиндра

но так как pR 2 h — объем цилиндра, то его масса m=pR 2 hr, а момент инерции

Если известен момент инерции тела относительно оси, проходящей через его центр масс, то момент инерции относительно любой другой параллельной оси определяется теоремой Штейнера: момент инерции тела J относительно произвольной оси равен моменту его инерции Jc относительно параллельной оси, проходящей через центр масс С тела, сложенному с произведением массы т тела на квадрат расстояния а между осями:
(16.1)
В заключение приведем значения моментов инерции (табл. 1) для некоторых тел (тела считаются однородными, т — масса тела).
Таблица 1


§ 17. Кинетическая энергия вращения
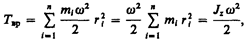
Рассмотрим абсолютно твердое тело (см. § 1), вращающееся около неподвижной оси z, проходящей через него (рис. 24). Мысленно разобьем это тело на маленькие объемы с элементарными массами т 1, т 2 ,..., тn , находящиеся на расстоянии r 1, r 2,..., rn от оси.
При вращении твердого тела относительно неподвижной оси отдельные его элементарные объемы массами mi опишут окружности различных радиусов ri, и имеют различные линейные скорости vi. Но так как мы рассматриваем абсолютно твердое тело, то угловая скорость вращения этих объемов одинакова:
(17.1)
Кинетическую энергию вращающегося тела найдем как сумму кинетических энергий его элементарных объемов:

или

Используя выражение (17.1), получаем

где Jz — момент инерции тела относительно оси z. Таким образом, кинетическая энергия вращающегося тела
(17.2)
Из сравнения формулы (17.2) с выражением (12.1) для кинетической энергии тела движущегося поступательно (T=mv 2/2 ), следует, что момент инерции — мера инертности тела при вращательном движении. Формула (17.2) справедлива для тела вращающегося вокруг неподвижной оси.
В случае плоского движения тела, например цилиндра, скатывающегося с наклонной плоскости без скольжения, энергия движения складывается из энергии поступательного движения и энергии вращения:

где m — масса катящегося тела; vc — скорость центра масс тела; Jc — момент инерции тела относительно оси, проходящей через его центр масс; w — угловая скорость тела.

§ 18. Момент силы. Уравнение динамики вращательного движения твердого тела
Моментом силы F относительно неподвижной точки О называется физическая величина, определяемая векторным произведением радиуса-вектора r, проведенного из точки О в точку А приложения силы, на силу F (рис. 25):

Здесь М — псевдовектор, его направление совпадает с направлением поступательного движения правого винта при его вращении от r к F. Модуль момента силы
(18.1)
где a— угол между r и F; r sina = l — кратчайшее расстояние между линией действия силы и точкой О — плечо силы.
Моментом силы относительно неподвижной оси z называется скалярная величина Mz, равная проекции на эту ось вектора М момента силы, определенного относительно произвольной точки О данной оси z (рис. 26). Значение момента Мz не зависит от выбора положения точки О на оси z.
Если ось z совпадает с направлением вектора М, то момент силы представляется в виде вектора, совпадающего с осью:

Найдем выражение для работы при вращении тела (рис. 27). Пусть сила F приложена в точке В, находящейся от оси z на расстоянии r, a — угол между направлением силы и радиусом-вектором r. Так как тело абсолютно твердое, то работа этой силы равна работе, затраченной на поворот всего тела. При повороте тела на бесконечно малый угол dj точка приложения В проходит путь d s=r dj и работа равна произведению проекции силы на направление смещения на величину смещения:
(18.2)

Учитывая (18.1), можем записать

где Fr sin a = Fl =Mz — момент силы относительно оси z. Таким образом, работа при вращении тела равна произведению момента действующей силы на угол поворота.
Работа при вращении тела идет на увеличение его кинетической энергии: dA=dT, но
поэтому Mz dj = Jzw d w, или 
Учитывая, что
получаем
(18.3)
Уравнение (18.3) представляет собой уравнение динамики вращательного движения твердого тела относительно неподвижной оси.
Можно показать, что если ось z совпадает с главной осью инерции (см. § 20), проходящей через центр масс, то имеет место векторное равенство
(18.4)
где J — главный момент инерции тела (момент инерции относительно главной оси).
§ 19. Момент импульса и закон то сохранения
При сравнении законов вращательного и поступательного движений просматривается аналогия между ними, только во вращательном движении вместо силы «выступает» ее момент, роль массы «играет» момент инерции. Какая же величина будет аналогом импульса тела? Ею является момент импульса тела относительно оси.
Моментом импульса (количества движения) материальной точки А относительно неподвижной точки О называется физическая величина, определяемая векторным произведением:

где r — радиус-вектор, проведенный из точки О в точку A, p =m v — импульс материальной точки (рис. 28); L — псевдовектор, его направление совпадает с направлением поступательного движения правого винта при его вращении от r к р.
Модуль вектора момента импульса

где a — угол между векторами r и р, l — плечо вектора р относительно точки О.
Моментом импульса относительно неподвижной оси z называется скалярная величина Lz, равная проекции на эту ось вектора момента импульса, определенного относительно произвольной точки О данной оси. Момент импульса Lz не зависит от положения точки О на оси z.

При вращении абсолютно твердого тела вокруг неподвижной оси z каждая отдельная точка тела движется по окружности постоянного радиуса ri с некоторой скоростью v i. Скорость v i и импульс mi v i перпендикулярны этому радиусу, т. с. радиус является плечом вектора mi v i. Поэтому можем записать, что момент импульса отдельной частицы равен
(19.1)
и направлен по оси в сторону, определяемую правилом правого винта.
Монет импульса твердого тела относительно оси есть сумма моментов импульса отдельных частиц:

Используя формулу (17.1) vi = wri, получим

т. е.
(19.2)
Таким образом, момент импульса твердого тела относительно оси равен произведению момента инерции тела относительно той же оси на угловую скорость. Продифференцируем уравнение (19.2) по времени:

т. е.

Это выражение — еще одна форма уравнения динамики вращательного движения твердого тела относительно неподвижной оси: производная момента импульса твердого тела относительно оси равна моменту сил относительно той же оси.

Можно показать, что имеет место векторное равенство
(19.3)
В замкнутой системе момент внешних сил
откуда
(19.4)
Выражение (19.4) представляет собой закон сохранения момента импульса: момент импульса замкнутой системы сохраняется, т. е. не изменяется с течением времени.
Закон сохранения момента импульса — фундаментальный закон природы. Он связан со свойством симметрии пространства — его изотропностью, т. е. с инвариантностью физических законов относительно выбора направления осей координат системы отсчета (относительно поворота замкнутой системы в пространстве на любой угол).
Продемонстрировать закон сохранения момента импульса можно с помощью скамьи Жуковского. Пусть человек, сидящий на скамье, которая без трения вращается вокруг вертикальной оси, и держащий в вытянутых руках гантели (рис. 29), приведен во вращение с угловой скоростью w1. Если человек прижмет гантели к себе, то момент инерции системы уменьшится. Поскольку момент внешних сил равен нулю, момент импульса системы сохраняется и угловая скорость вращения w2 возрастает. Аналогично, гимнаст во время прыжка через голову поджимает к туловищу руки и ноги, чтобы уменьшить свой момент инерции и увеличить тем самым угловую скорость вращения.
Сопоставим основные величины и уравнения, определяющие вращение тела вокруг неподвижной оси и его поступательное движение (табл. 2).
Таблица 2



§ 20. Свободные оси. Гироскоп
Для того чтобы сохранить положение оси вращения твердого тела с течением времени неизменным, используют подшипники, в которых она удерживается. Однако существуют такие оси вращения тел, которые не изменяют своей ориентации в пространстве без действия на нее внешних сил. Эти оси называются свободными осями (или осями свободного вращения). Можно доказать, что в любом теле существуют три взаимно перпендикулярные оси, проходящие через центр масс тела, которые могут служить свободными осями (они называются главными осями инерции тела). Например, главные оси инерции однородного прямоугольного параллелепипеда проходят через центры противоположных граней (рис. 30). Для однородного цилиндра одной из главных осей инерции является его геометрическая ось, а в качестве остальных осей могут быть две любые взаимно перпендикулярные оси, проведенные через центр масс в плоскости, перпендикулярной геометрической оси цилиндра. Главными осями инерции шара являются любые три взаимно перпендикулярные оси, проходящие через центр масс.
Для устойчивости вращения большое значение имеет, какая именно из свободных осей служит осью вращения тела.
Можно показать, что вращение вокруг главных осей с наибольшим и наименьшим моментами инерции оказывается устойчивым, а вращение около оси со средним моментом — неустойчивым. Так, если подбросить тело, имеющее форму параллелепипеда, приведя его одновременно во вращение, то оно, падая, будет устойчиво вращаться вокруг осей 1 и 2 (рис. 30).
Если, например, палочку подвесить за один конец нити, а другой конец, закрепленный к шпинделю центробежной машины, привести в быстрое вращение, то палочка будет вращаться в горизонтальной плоскости около вертикальной оси, перпендикулярной оси палочки и проходящей через ее середину (рис. 31). Это и есть ось свободного вращения (момент инерции при этом положении палочки максимальный). Если теперь палочку, вращающуюся вокруг свободной оси, освободить от внешних связей (аккуратно снять верхний конец нити с крючка шпинделя), то положение оси вращения в пространстве в течение некоторого времени сохраняется. Свойство свободных осей сохранять свое положение в пространстве широко применяется в технике. Наиболее интересны в этом плане гироскопы — массивные однородные тела, вращающиеся с большой угловой скоростью около своей оси симметрии, являющейся свободной осью.

Рассмотрим одну из разновидностей гироскопов — гироскоп на кардановом подвесе (рис. 32). Дискообразное тело — гироскоп — закреплено на оси АА, которая может вращаться вокруг перпендикулярной ей горизонтальной оси ВВ, которая, в свою очередь, может поворачиваться вокруг вертикальной оси DD. Все три оси пересекаются в одной точке С, являющейся центром масс гироскопа и остающейся неподвижной, а ось гироскопа может принять любое направление в пространстве. Силами трения в подшипниках всех трех осей и моментом импульса колец пренебрегаем.
Таккак трение в подшипниках мало, то, пока гироскоп неподвижен, его оси можно придать любое направление. Если начать гироскоп быстро вращать (например, с помощью намотанной на ось веревочки) и поворачивать его подставку, то ось гироскопа сохраняет свое положение в пространстве неизменной. Это можно объяснить с помощью основного закона динамики вращательного движения. Для свободно вращающегося гироскопа сила тяжести не может изменить ориентацию его свободной оси, так как эта сила приложена к центру масс (центр вращения С совпадает с центром масс), а момент силы тяжести относительно закрепленного центра масс равен нулю. Моментом сил трения мы также пренебрегаем. Поэтому если момент внешних сил относительно его закрепленного центра масс равен нулю, то, как следует из уравнения (19.3), L = const. т. е. момент импульса гироскопа сохраняет свою величину и направление в пространстве. Следовательно, вместе с ним сохраняет свое положение в пространстве и ось гироскопа.






