1. Определите важнейшие особенности памяти как познавательного психического процесса. Сопоставьте психологические, биохимические и физиологические подходы к определению механизмов памяти.
2. Ш., обладавшему феноменальной памятью, в многолюдной аудитории прочитали длинный ряд слов и попросили воспроизвести их. С этим он справился безукоризненно. Затем ему предложили назвать из всего списка слов одно, обозначающее инфекционное заболевание. Все присутствующие люди с самой обыкновенной памятью мгновенно вспомнили это слово («тиф»), а Ш. потребовалось целых две минуты, чтобы выполнить задание. Оказывается, в течение всего этого временя он перебирал в уме по порядку все заученные слова. Какой тип запоминания проявился в этом случае?
3. Многие люди для лучшего запоминания прибегают к кратким записям. Почему такой прием способствует лучшему запоминанию материала?
4. В одном эксперименте группе испытуемых было предложено решить пять арифметических задач.
В другом эксперименте тем же учащимся примерно через 15 мин предложили придумать
|
|
|
1 Ломов Б. Ф. Человек и автоматы. М. 1984. С. 59.
пять аналогичных задач. После этого от них потребовалось воспроизвести числа из условий всех десяти задач.
В каком эксперименте испытуемые лучше запомнят числа, содержащиеся в задачах, и почему?
5. Используя материал на с. 167, объясните часто наблюдаемые в школьной практике факты: почему материал быстрее забывается, если сразу же не проведена работа по закреплению? Почему при концентрированной подготовке накануне экзамена быстрее наступает забывание?
6. Чем отличается ретроактивное торможение от проактивного? Что нужно помнить и практически делать для того, чтобы предупредить забывание важного материала?
7. Из школьной практики известны случаи, когда ученики, хорошо знавшие стихотворение, при ответе на уроке от волнения сбиваются и забывают отдельные его части. Как физиологически объяснить такое забывание?
8. Ученик, отвечая на уроке, воспроизводил материал очень неполно. Ему была поставлена неудовлетворительная оценка и сделано замечание, что он дома мало занимается. Ученик ответил, что он много занимается дома (это подтвердили и родители). Какими недостатками в изучении материала можно объяснить то, что, во-первых, ученик плохо запомнил материал, во-вторых, то, что он был уверен, что запомнил его хорошо?
9. В чем заключается основное отличие образов представлений от образов восприятий и от понятий? Объясните, почему представления считают более высокой ступенью познания, чем восприятия.
10. В чем конкретно проявляется учет индивидуальных различий памяти учащихся в процессе вашей практической деятельности?
|
|
|
11. Закономерности запоминания сложны и многообразны. По данным психологической литературы и собственным наблюдениям определите:
Почему необходимым условием успешного запоминания является активность мыслительной деятельности учащихся? Как влияет на запоминание отношение к запоминаемому материалу (целевая установка, понимание значимости, интерес и т. д.)? Чем объяснить, что примеры, придуманные самостоятельно, запоминаются лучше?
Какие ошибки часто допускают учителя при повторении материала и как надо правильно его организовывать? Как предупреждать забывание важного материала?
Как с точки зрения требований психологии следует проводить опрос учащихся и формировать у них готовность к ответу?
Узловые вопросы темы
1. Мышление как высшая форма познавательной деятельности. Мышление и чувственное познание. Единство мышления и речи.
2. Логические формы мышления.
3. Мышление как деятельность и решение мыслительных задач.
4. Мыслительные операции как основные механизмы мышления.
5. Виды мышления.
6. Понятие о воображении как специфически человеческом виде деятельности.
7. Возникновение образов воображения.
8. Виды воображения. Мечта как особый вид воображения. Этапы творческого воображения.
Основные психологические понятия по теме «Мышление»
Абстракция (отвлечение) — мыслительная операция, основанная на выделении существенных свойств и связей предмета и отвлечении от других, несущественных.
Анализ — мыслительная операция расчленения сложного объекта на co-
XL МЫШЛЕНИЕ И ВООБРАЖЕНИЕ
ставляющие его части или характеристики.
Гипотеза — предположение, проект решения задачи.
Дедукция — логический вывод в процессе мышления от общего к частному.
Задача — цель, заданная в определенных условиях.
Интеллект — общая познавательная способность, определяющая готовность человека к усвоению и использованию знаний и опыта, а также к разумному поведению в проблемных ситуациях.
Индукция — логический вывод в процессе мышления от частного к общему.
Инсайт — мгновенное осознание решения некоторой проблемы.
Конкретно-действенное мышление — вид мышления, опирающийся на непосредственное восприятие предметов в процессе действий с ними.
Мышление — наиболее обобщенная и опосредованная форма психического отражения, устанавливающая связи и отношения между познаваемыми объектами.
Наглядно-образное мышление — РИД мышления, характеризующийся опорой на представления и образы.
Обобщение — мысленное объединение предметов и явлений по их общим и существенным признакам.
Опосредствование — познание с использованием вспомогательных средств.
Понятие — форма мышления, отражающая существенные свойства, связи и отношения предметов и явлений, выраженная словом или группой слов.
Проблемная ситуация — ситуация, в которой возникают задачи, связанные с интеллектуальной деятельностью.
Разум (ум) — высшая форма теоретического освоения действительности, проявляющаяся в способности человека мыслить.
Сериация — логический прием последовательного расположения материала по порядку на основании определенных признаков.
Словесно-логическое мышление — вид мышления, осуществляемый при помощи логических операций с понятиями.
Синтез — мыслительная операция, позволяющая в едином аналитико-синтетическом процессе мышления переходить от частей к целому.
Сравнение — мыслительная операция, основанная на установлении сходства и различия между объектами.
Суждение — форма мышления, отражающая связи между предметами и явлениями; утверждение или отрицание чего-либо.
Умозаключение — форма мышления, при которой на основе нескольких суждений делается определенный вывод. Различают у. индуктивное, дедуктивное, по аналогии.
|
|
|
Эвристика — наука, изучающая продуктивное творческое мышление.
Основные
по теме «Воображение»
Агглютинация — создание новых образов на основе «склеивания» частей, имеющихся образов и представлений.
Акцентирование — создание новых образов путем подчеркивания тех или иных черт. Может проявляться как уменьшение, или увеличение, или как изменение пропорций отдельных сторон изображаемого, или как многократное их повторение.
Воображение — форма психического отражения, состоящего в создании образов на основе ранее сформированных представлений. Различают непроизвольное и произвольное, репродуктивное и творческое в.
Опережающее отражение — форма психического отражения, обеспечивающего возможность предвидеть ход развития процесса. Механизм о. о. был открыт П.К. Анохиным.
Творчество — деятельность человека или коллектива людей по созданию новых оригинальных общественно значимых ценностей.
Творческое воображение — вид воображения, направленного на создание новых общественно значимых образов, составляющего основу творчества.
Проблема мышления долгое время не была предметом изучения психологии, а изучалась философией и логикой. В изучении мышления особенно отчетливо проявилась борьба между материализмом и идеализмом.
Существуют разные психологические теории мышления.
Согласно ассоцианизму само мышление не является особым процессом и сводится к простому сочетанию образов памяти (ассоциациям по смежности, сходству, контрасту).
Представители вюрцбургской школы считали мышление особым видом психических процессов и отделяли его от чувственной основы и речи.
Согласно гештальт-психологии мышление совершается в замкнутой сфере сознания. В итоге мышление сводилось к движению мыслей в замкнутых структурах сознания.
Материалистическая психология подошла к рассмотрению мышления как к процессу, который формируется в общественных условиях жизни, проявляется сначала как развернутая предметная деятельность, переходящая затем в свернутые формы, и приобретает характер внутренних «умственных» действий.
|
|
|
Исследование мышления занимает одно из центральных мест во всех философских учениях как прошлого, так и настоящего. Мышление в настоящее время исследуется не только психологией, но и различными другими науками — философией, логикой, физиологией, кибернетикой, лингвистикой.
Современная наука идет ко все более глубокому раскрытию сущности мышления разными путями:
через исследование мышления и его законов путем логического анализа;
через его исследование с точки зрения психических функций человека, процессов, протекающих в нервной системе;
через его исследование с помощью средств и методов кибернетики.
Мышление как высшая форма познавательной деятельности человека позволяет отражать окружающую действительность:
обобщенно,
опосредованно
и устанавливать связи
и отнош ения
между предметами
и явлениями.
Обобщенности способствует то, что мышление носит знаковый характер, выражается словом. Слово делает человеческое мышление опосредованным.
Благодаря опосредованности оказывается возможным познать то, что непосредственно в восприятии не дано.
Мышление также дает возможность установить связи и отношения между предметами, в то время как ощущения и восприятия отражают преимущественно отдельные стороны явлений.
Процесс познания является чрезвычайно сложным. Прежде всего, для него необходимо получать непосредственные впечатления от предметов внешнего мира. Эти впечатления добываются с помощью различных органов чувств. Такая форма отражения чрезвычайно важна, существенна, но недостаточна для регуляции поведения. Для того чтобы осуществить в окружающей среде разумную деятельность, необходимо отражать отношения предметов между собой, что и осуществляется в процессе мышления.
Весь материал мыслительная деятельность получает только из чувственного познания. И через чувственное познание мышление непосредственно связывается с внешним миром.
Человеческое мышление качественно отличается от мышления животных. Важнейшим отличительным моментом оказывается речь и другие используемые при этом системы знаков, с помощью которых человек получает возможность существенно рас-

Рис. XI. 1. Модель системы переработки информации человеком
ширять свои моделирующие способности. Именно благодаря этому мышление человека дает возможность познать обобщенно и опосредованно.
Материальной основой мышления является речь. Мысль опирается на свернутую внутреннюю речь.
Эксперименты показали, что ни одна сложная мысль не протекает без
свернутых внутренних речевых процессов. Оказалось, что если зарегистрировать положение языка или органов гортани в спокойном состоянии, а затем предложить испытуемому начать придумывать любую задачу, то в речевом анализаторе начинается сложная деятельность, которую можно зарегистрировать. Следовательно,

Рис. XI.2. Восприятие, хранение и переработка информации — необходимые условия успешного решения мыслительной задачи
каждая мысль связана с внутренним речевым процессом (исследование А.Н. Соколова).
По своей функции регулятора мышление выступает как высший процесс, объединяющий всю деятельность человека. Начальным моментом мышления является проблемная ситуация (см.), которая вовлекает личность в активный мыслительный процесс. Проблемная ситуация — это конфликт между тем, что дано субъекту, и тем, чего он должен достигнуть.
Под проблемой обычно понимают особый вид интеллектуальных задач, имеющих следующие характеристики:
цель (ориентировочную основу для решения задач);
условия, в которых задается данная цель;
потребность в достижении цели; недостаточность стандартных средств решения, вытекающих непосредственно из условий.
Нет проблемы там, где отсутствует недостаток информации и неудовлетворенность потребностей. То, что является проблемой для данного человека, для другого может и не быть ею.
От осознания проблемы человек переходит к принятию решения (см. рис. XI.3).
Творческое мышление всегда возникает в ситуации поиска и открытия нового при решении различных задач. Само решение выступает как поиск недостающего звена. В результате анализа проблемной ситуации возникает задача. Задача — это цель, данная в определенных условиях. Возникновение задачи означает, что решающему ее удалось хотя бы предварительно и приблизительно выделить известное и неизвестное (искомое).
Большое значение при решении задач имеет подсказка или проме-

Рис. XI.3. Содержание мышления
жуточная задача. Причем особенно важно, на каком этапе решения дается такая задача.
Выделяют три типа мыслительных действий, характерных для процесса решения задач.
I. Ориентировочные действия П. Исполнительные действия III. Нахождение ответа Ориентировочные действия начинаются с анализа условий.
Главное в мыслительном поиске — возникновение гипотезы (см.). Она возникает на основе полученной информации, анализа условий и способствует дальнейшему поиску, направляет движение мысли, в итоге переходит в план решения. В возникновении гипотезы обычно проявляются творческие возможности личности.
Исполнительные действия сводятся в основном к выбору приемов решения задачи.
Нахождение ответа состоит в сверке решения с исходными условиями
задачи. Если в результате сличения результат согласуется с исходными условиями, процесс прекращается. Если нет — процесс решения продолжается снова и протекает до тех пор, пока решение не будет окончательно согласовано с условиями задачи.
Мыслительная деятельность, связанная с внезапным решением проблемы, называется эвристической. Эвристика (см.) — наука о закономерностях мыслительного поиска.
Важным условием принятия правильного решения и успешного решения задачи являются знания. Без знаний не может быть создано никакой гипотезы. При этом огромную роль играет словесная формулировка. Правильно поставленный вопрос нацеливает на решение задачи. В решении мыслительных задач велика также роль наглядных образов, схем, чертежей.
Для решения подавляющего большинства задач требуется привлечение

Рис. XI.4. Структурная схема процесса решения мыслительной задачи
теоретических знаний, обобщений. Многие задачи решаются путем применения правил, и результат мыслительной работы непосредственно переходит в область практического применения. В практике использования данного результата проверяется правильность решения, возникают новые задачи, вытекающие из развития, уточнения, изменения первоначально принятых решений.
Процесс формирования умствен-
ных действий совершается поэтапно (по П.Я. Гальперину):
I. Выявление ориентировочной основы действия. На этом этапе происходит ориентация в задании. Первоначально выделяется то, что само бросается в глаза.
II. Происходит формирование действия в материальном виде. На этом этапе обучающийся умственным действиям получает полную систему указаний и систему внешних признаков, на которые ему надо ориентироваться. Действие автоматизируется, делается целесообразным, возможен его перенос на аналогичные задания.
III. Действие формируется в громкой речи. Важное значение приобретает не только знание условий, но и понимание их.

Рис. XI.5. Схема этапов мыслительного действия

Рис. XI.6. Структурная схема мыслительного процесса поиска оператором отказов и неисправностей в техническом устройстве (пример)
IV. Этап формирования действий во внешней речи про себя.
V. Формирование действий во внутренней речи.
Переход от первого из этих этапов ко всем последующим представляет собой последовательную интериориза-цию действий. Это переход «извне внутрь».
Мышление включает ряд операций (см.), таких, как сравнение, анализ, синтез, обобщение и абстракция. С их помощью осуществляется проникновение в глубь той или иной стоящей перед человеком проблемы, рассматриваются свойства составляющих эту проблему элементов, находится решение задачи.

Рис. XI.7. Принципиальная схема решения мыслительных (в том числе творческих) задач.

Рис. XI.8. Таблицы для исследования мышления (по Майер-Хорстону). Определите, что лишнее в каждой группе изображений?
Сравнение (см.) характеризуется как более элементарный процесс, с которого, как правило, начинается познание. В ходе этого процесса субъект обнаруживает тождество и различие между вещами.
С помощью анализа (см.) обнаруживаются наиболее существенные признаки.
Анализ и синтез (см.) обычно выступают в единстве. Они неразрывны, не могут существовать друг без друга: анализ, как правило, осуществляется одновременно с синтезом, и наоборот.
К операциям мышления относятся также абстракция (см.) и обобщение (см.).
К формам мышления относятся понятие (см.), суждение (см.) и умозаключение (см.)
Понятия могут быть общими и единичными, конкретными и абстрактными. Суждения могут быть истинными и ложными. Умозаключения
ivioryT быть индуктивными (см.) и дедуктивными (см.).
Понятие — форма мышления, которая отображает единичное и особенное, являющееся одновременно и всеобщим. Понятие выступает и как форма мышления, и как особое мыслительное действие. За каждым понятием скрыто особое предметное действие.
Понятие в зависимости от типа абстракции и обобщения, лежащих в основе его познания, выступает как эмпирическое или теоретическое.
Эмпирическое представление фик-
сирует одинаковые предметы в каждом отдельном классе предметов на основе сравнения. Специфическим содержанием теоретического представления выступает объективная связь всеобщего и единичного (целостного и отличного).
Понятия формируются в общественно-историческом опыте. Человек усваивает систему понятий в процессе жизни и деятельности.
Выделение видов мышления производят по различным основаниям.
Наглядно (конкретно) действенное мышление (см.) есть наиболее эле-

Рис. XI.9. Мыслительные операции
ВИДЫ МЫШЛЕНИЯ, ВЫДЕЛЕННЫЕ ПО РАЗЛИЧНЫМ ОСНОВАНИЯМ

Рис. XI.10.

Рис. XI.11. Составляющие продуктивности ума
ментарная форма мышления, возникающая в практической деятельности и являющаяся основой для формирования более сложных форм мышления. Выделяют также наглядно-образное (см.) и абстрактно-логическое (или отвлеченное) мышление.
Все виды мышления тесно взаимосвязаны. При решении задач словесные рассуждения опираются на яркие образы. В то же время решение даже самой простой, самой конкретной задачи требует словесных обобщений.
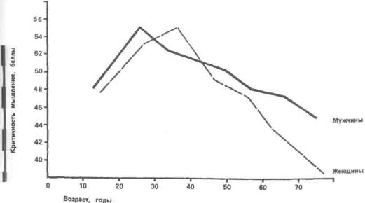
Для творческой работы необходимо обладать способностью самостоятельно и критично мыслить, проникать в сущность предметов и явлений, быть пытливым, что в значительной мере обеспечивает продуктивность умственной деятельности.
Все указанные качества индивидуальны, изменяются с возрастом, поддаются коррекции. Связь критичности ума с возрастом (полученная в экспериментальных условиях) представлена на графике XI. 12.
| Самостоятельность мышления | ---------------=> | умение использовать общественный опыт, независимость собственной мысли |
| Критичность мышления | ---------------------------------- >■ | объективная оценка других и себя |
| Глубина мысли | --------------->- | способность анализировать, сравнивать, находить существенное |
| Гибкость мысли | ----------------------------------=>■ | умение находить пути решения задачи |
| Пытливость мысли | ---------------->. | потребность всегда искать наилучшее решение |

Рис. XI. 12. Корреляция критичности мышления с возрастом