Центральный тензор инерции шара – шаровой:
, тензоры инерции цилиндра и конуса трансверсально–изотропные:
, что позволяет свести трехмерные интегралы к одномерным.
Шаровой слой (рис. 5.10,a).Центральный тензор инерции – шаровой:
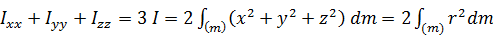
. Складывая моменты инерции, получим:
.
Объем слоя
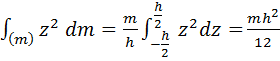
. В качестве элемента массы
возьмем массу шарового слоя толщиной
:
, где плотность
, а элементарный объем
.
Тогда
и окончательно 
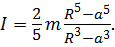
Рассмотрим частные случаи:
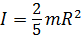
а) шар (
:
;
| Рис. 5.10. Шар, цилиндр, конус |
|
| б) |
| r |
| dr |
|
| a) |
| R |
| в) |
| R |
| r |
|
|
|
| · C |
| A · |
б) оболочка (
:
. Полый прямой круговой цилиндр (рис. 5.10,б).
Найдем сначала
.Выделим двумя цилиндрическими поверхностями радиуса
и
трубку толщиной
и от тройного интеграла перейдем к одинарному:
.
Учитывая, что
, найдем сумму:
.
Разделив цилиндр на пластинки толщиной
и массой
, найдем
.
Итак,
,
.
Рассмотрим частные случаи:
а) сплошной цилиндр
,
;
б) оболочка (
):
,
;
в) пластинка (
):
,
;
г) стержень (
):
,
.
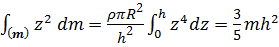
Прямой круговой конус (рис. 5.10,в).
Радиус основания R, высота h, плотность
.
Найдем
. Чтобы не вычислять тройной интеграл по (
) в декартовых координатах (или по
в цилиндрических), разобьем конус на пластинки толщиной
, радиусом
и с моментом инерции
. Тогда
.
Найдем сумму 
и, вычислив интеграл
,получим:
.
Моменты инерции относительно центральных осей вычисляются с помощью теоремы Гюйгенса – Штейнера (
):
