Тензору инерции, как и всякому симметричному тензору, можно поставить в соответствие наглядный геометрический объект – так называемую тензорную поверхность (рис. 5.9). Пусть
тензор инерции в точке В. Построим квадратичную форму и приравняем ее единице:
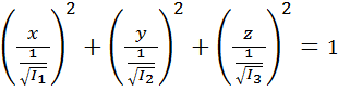
. (5.27)
Это уравнение поверхности, описываемой вектором
с началом в точке В, которая для положительного тензора является эллипсоидом. Действительно, записав
в главных осях
получим в каноническом виде
или
. (5.27а)
Уравнение (5.27) – уравнение эллипсоида с полуосями, равными
.
Момент инерции
относительно оси
с ортом
, проходящей через точку
и пересекающей эллипсоид в точке
, обратно пропорционален квадрату расстояния
:
.
Так как протяженное в каком–либо направлении тело имеет относительно оси, совпадающей с этим направлением, наименьший момент инерции, то эллипсоид инерции приблизительно повторяет форму тела.
Вычислим дифференциал от уравнения (5.27):
, отсюда следует, что вектор
перпендикулярен к эллипсоиду, поскольку вектор
лежит в касательной плоскости к поверхности.
|
|
|
Например, кинетический момент тела, вращающегося вокруг точки В, равен
, поэтому
направлен по нормали к поверхности эллипсоида в точке его пересечения с мгновенной осью вращения, проведенной через точку В.
Если тело обладает осью симметрии «N» – го порядка, т. е. переходит «само в себя» при повороте на угол
(см. рис. 5.8,в), то «вмороженный» в него эллипсоид инерции обладает тем же свойством и, следовательно, является эллипсоидом вращения с двумя, по меньшей мере, равными полуосями; т. е. тензор инерции
трансверсально–изотропный.






