Уравнения первого и второго законов полностью описывают трансляционное и вращательное движения твердого тела:
(5.31)
Второму уравнению можно придать более удобный для решения вид. Кинетический момент относительно неподвижной точки А можно выразить через кинетический момент относительно подвижной точки В (рис. 5.12,а):
.
Аналогично
.
Подставляя эти выражения во второе уравнение (5.31), с учетом 
, получим:
. (5.32)
В некоторых случаях уравнение (5.32) проще и удобнее применять.
1. В качестве подвижной точки можно взять не принадлежащую телу точку, например, точку касания поверхности катящегося (или скользящего) тела (рис. 5.12,б). В этом случае
, поэтому уравнение (5.32) упростится:
,
и, кроме того, в уравнение не войдут неизвестные реакции, поскольку их момент относительно точки В равен нулю.
2. Если в качестве подвижной точки В взять центр масс, уравнение (5.32) примет вид:
, или
. (5.33)
Это уравнение полностью описывает вращательное движение и не отличается от уравнения, описывающего вращение вокруг неподвижной точки.
| Рис. 5.12. Подвижная опорная точка |
| A |
| ⦁ B |
| a) |
| C |
|
|
|
| B |
| б) |
|
| • C |
| в) |
|
| B |
| x |
| y |
|
| С Z |
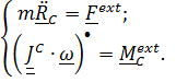
Таким образом, удобной в большинстве случаев системой уравнений, описывающих произвольное движение твердого тела является следующая:
(5.34)
Если тело совершает плоское движение (рис 5.12,в), то
, где
единичный вектор, перпендикулярный плоскости движения. Первое уравнение в (5.34) проецируется на оси
и
в плоскости движения, а второе скалярным умножением на
проецируется на ось
, проходящую через центр масс:
. С учетом
система имеет вид:
(5.35)
Рассмотрим примеры.






