| Рис. 5.13. Качение по платформе |
|
|
|
|
|
|
| • C |
| B |
платформе катится шарик массы
и радиуса
(рис. 5.13). Уравнения динамики (5.34) с учетом того, что тензор инерции – шаровой
, принимают вид: 
где
горизонтальная составляющая реакции платформы.
Добавим к (1),(2) условие отсутствия проскальзывания в точке касания В:
(3)
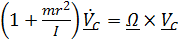
Исключим из уравнений все неизвестные, оставив только
.Подставим
из первого уравнения во второе, умножим его векторно справа на
и, раскрывая двойное векторное произведение, получим:
.
Подставив в это уравнение найденное из (3) выражение
, получим
, или, обозначив
:
.
Подобное уравнение уже встречалось в (5.1.2), и решение его проще всего записать с помощью тензора поворота (напомним,
):

Таким образом, постоянный по величине вектор скорости «вращается» с постоянной угловой скоростью
вокруг
; нетрудно понять, что это возможно, только если центр масс движется по окружности, радиус которой можно найти, проинтегрировав
и подставив начальные условия:
.
Таким образом, центр масс шарика движется по окружности радиуса
с центром в точке
.






