Покажем, что знание одного частного решения линейного неоднородного уравнения позволяет привести его к однородному. Пусть Ү есть известное нам частное решение уравнения (9.2). Введем новую искомую функцию z, связанную с у соотношением:
y=у+z
Подставляя в уравнение (9.2), находим

но так как y есть, по предположению, решение уравнения (9.2), мы имеем тождество

в силу этого тождества последнее уравнение примет вид

Это однородное уравнение относительно z. Таким образом, если известно одно частное решение неоднородного линейного уравнения, то общее решение находим одной квадратурой. Если известно одно частное решение у, однородного линейного уравнения (9.2), то выражение Су, также будет решением; оно содержит произвольную постоянную С, следовательно, это – общее решение. Итак, общее решение в этом случае находится без квадратур.
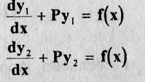
Посмотрим, что нам дает знание двух частных решений неоднородного уравнения. Пусть эти решения будут у, у2 имеем тождество

Вычитая их почленно, получим

Следовательно, у2 - у, является частным решением линейного' уравнения без правой части. Из предыдущего вытекает, что общее-решение уравнения (9.2) напишется так
|
|
|

При знании двух частных решений линейного уравнения с правой частью общее решение находится без квадратур.
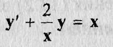
Пример 9.3: Решить уравнение
ху' + 2у = х2
Решение: Преобразуем уравнение к виду
(9.17)
и решим однородное уравнение

Тогда в силу (9.15) имеем
(9.18)
Считая, что С = С(х), и (9.18) подставляя в (9.17), имеем

Находя С из этого уравнения, и получим

Подставляя найденное значение С(х)в выражение (9.18) получим общее решение неоднородного линейного уравнения(9.7)

Пример 9.4: Решить уравнение
(9.19)
Решеиие: Считая, что х есть функция от у, то есть х(у) преобразуем (9.19) к виду
(9.20)
Рассмотрим однородное уравнение у' - х = 0 и согласно формуле (9.19) имеем
(9.21)
далее, считая, что С = С(у) в (9.21) и подставляя в (9.20) имеем
С'(у)еү + Сеү - Сет = у
или

Откуда

следовательно,
