Определение 9.3 Уравнение вида
у/+р(х)у=f(х)уn (9.22) где р(х), f (x) € C (Δ), a n≠0, n≠1 назывется уравнением Бернулли.
Разделив вес уравнение на у(n), получим
у-nу/+p(x)у-n+1=f(x) (9.23)
Далее делая замену Z=у-n+1
Получим
Z + (-n+1)p(x) Z= (-n+1) f (x)
Или
Z+ P1(x) Z =f1(x) (9.24)
Где
P1(x) =(-n+1)p(x) f1(x) =(-n+1)f(x) (9.25)
Уравнение (9.24)является линейным уравнением (9.2), решения которого задаются по формуле (9.10).
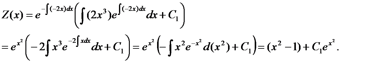
Пример 9.5. Решить уравнение
у/+ху=x3 у3
Решение: В нашем случае Р1 (х) =(-3+1)х=-2х, f1(x) = x3 (-3+1) =-2x3
И согласно формуле (9.10) получим

Лекция 10
Тема:Теорема существования (Коши и Пеано). Особые точки. Особые решения. Уравнения в полных дифференциалах. Интегрующий множитель. Нахождение интегрирующего множителя.






