(11.11)
Уравнение вида (11.11) приводится к квадратурам при любом
натуральном n.
Предположим, что (11.11)разрешено относительно у(n)
(11.11')
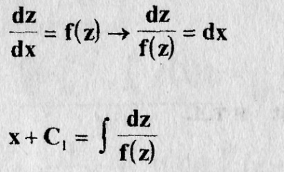
Вводим новую функцию х, z = y(n-1), уравнение примет вид
z' = f(Z)
Из этого уравнения получаем с помощью разделения переменных общий интеграл

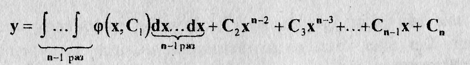
Допустим, что соотношение разрешено относительно z:

Заменяя z eгo значением y(n-1), получим уравнение (n-і)-го порядка

которое мы рассмотрели в пункте A

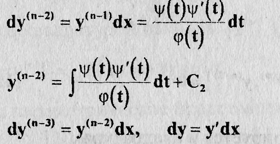
Если уравнение (11.11) неразрешено в элементарных функциях относительно у(п), но мы имеем выражения y(n-1), и y(n-1), через параметр
(11.11")
to соотношение dy' ' = y dx или
дает нам 
Откуда х получается квадратурой

Далее, находим последовательно

и наконец

To есть опять представление у и х в функции параметра t и п произвольных постоянных N1, N2,...,Nn, следовательно, общее решение
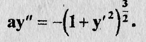
Пример 11.5:
Согласно изложенной теории, полагая y=z,
получаем уравнение первого порядка


Дальше удобно интегрировать в параметрическом виде

Откуда находим

исключая параметр
, имеем
|
|
|

представляющее уравнение семейства всех окружностей радиуса а на \ плоскости.






