(11.12)
Уравнение вида (11.12) также интегрируется в квадратурах. Введение нового переменного z = у (n-2) приводит уравнение (11.12) к виду
,F(z",z) = 0 (11.13)
Если уравнение (11.13) разрешено относительно z", т.е. имеет вид
z" = f(x) (11.14)
то один из методов его интегрирования таков:
умножив обе части на 2г', получаем
или в дифференциалах
d(z'2) = 2f(z)dz
Откуда

Последнее уравнение можно разрешить относительно производной и разделив переменные получим

Отсюда находим общий интеграл уравнения (11.14)

Этот интеграл поле замене z на у(n-2) получает вид
Ф(z,х,С,С2) = 0
То есть уравнение вида (11.5') интегрируется, как мы уже знаем, квадратурами, причем эта интеграция дает еще п-2 произвольных постоянных, и мы получим общее решение уравнения (11.12) Если уравнение (11.12) дано в не разрешенном относительно 6" виде, но известно его паргметрическое представление
(11.12')
то интеграция совершается следующим образом. МІы имеем два равенства

связывающих две неизвестные функции от t, именно х и у; исключая делением dx, получаем зная уравнение относительно для уn-0
|
|
|

или в силу (11.12') имеем

откуда квадратурой находим (у(n-1) далее получим

Имея параметрическое представление уn-1 и у(n-2), мы свели задачу к типу (11.11') рассмотренному в §3. Дальнейшие квадратуры введут n-1 произвольных постоянных.
Пример 11.6:
Полагая у// = z приходим к уравнению
а2z//=z,
умножая обе части на 2z' имеем 2а2z/z//=2zz/ или

интегрируя находим

Вторая интеграция дает

или
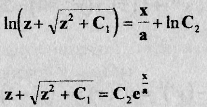
Чтобы разрешить последнее уравнение относительно z, выгодно поступить следующим образом: делим единицу на обе части последнего равенства

в левой части освобождаемся от иррациональности в знаменателе, затем умножая обе части на – N1 получаем

складывая это уравнение с исходным и деля на 2, получаем

Подставляя вместо z его значение уn и интегрируя два раза, находим
у = Аеn + Ben + Сх + D где A, B, C, D - произвольные постоянные.






