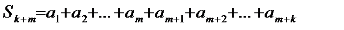
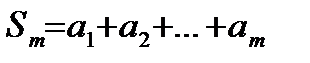
Фиксируем m и обозначим к-ю частичную сумму ряда через 


(15.6)
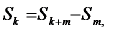
Тогда очевидно:
(15.7)
Где:


Если ряд (15.2) сходится то
то при неограниченном возрастании k существует конечный предел S
(15.7)
является конечным для суммы
что означает сходимость ряда (15.5). Обратно, если дано, что сходится ряд (15.5), так что
то перепишим равенство (15.6), полагая в нем k=n-m(n>m), так: 
Отсюда вытекает, что при неограниченном возрастании n частная сумма
имеет предел 
То есть сходиться ряд (15.2).






