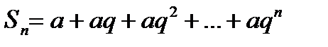
Рассмотрим ряд
(15.4)
Это геометрическая прогрессия с первыми членами a,знаменателями 
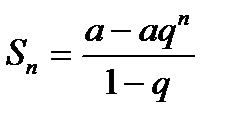
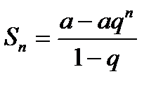
Сумма n первых членов геометрической прогрессии равна

Как известно из школьной программы, сумма n-первых членов геометрической прогрессии равна 
Формула n-го члена
при

Или

Рассмотрим несколько случаев, когда 
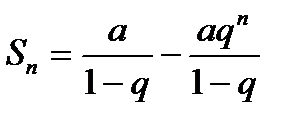
1. Если
то
при
следовательно 
Значит в случае ряд (15.4) сходится и его сумма равна
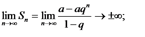
2.Если
то
при
и тогда
то есть
не существует. Таким образом, в случае
ряд (15.4) расходится.
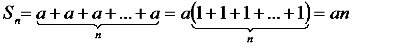
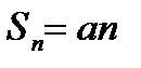
3. Если q=1, то ряд (15.4) принимает вид a+a+a+…+a+…
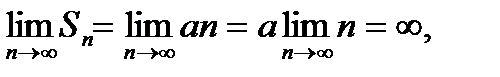
В этом случае 
То есть 

То есть ряд расходится.
4. Если q=-1, то ряд (15.4) имеет вид a-a+a-a+a-…+a-…
В этом случае

Следовательно,
предела не имеет-ряд расходится.
То,есть геометрическая прогрессия с первым членом, отличным от нуля сходится только тогда, когда знаменатель прогрессии по абсолютной величине меньше единицы.






