Пусть задана некоторая бесконечная последовательность чисел
(15.1)
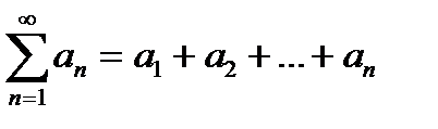
составленный из этих чисел символ
(15.2)
называется числовым рядом, а сами числа (15.1)называются членами ряда.
Вместо (15.2) ползуются знаком суммы, часто пишут так:

Выражение для n-го члена ряда при произвольнои n-называется общим членом ряда.
Станем последовательно складывать члены ряда, составляя суммы

их называют частными суммами (или отрезками) ряда.
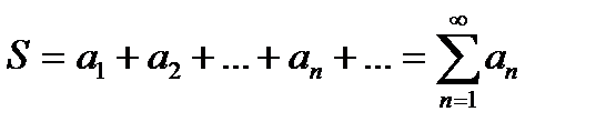
Определение 15.1: Сумма конечнего числа n первых членов ряда называется n-й частичной суммой ряда
(15.3)
Рассмотрим последовательность, составленную из частичних сумм:

Таким образом, ставится вопрос: существует ли предел последовательности {
} при
то есть:

Определение15.2. Конечный или бесконечный предел S частичной суммы ряда (15.2) при

называется суммой ряда и пишется:

Если существует конечный предел:

то говорят, что ряд сходится.
Если

не существует или равен бесконечности, то говорят, что ряд (15.2) расходятся.
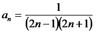
Пример 15.1. Найти S,
и
ряда
Решение: Имеем 
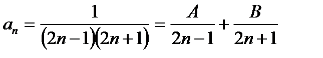
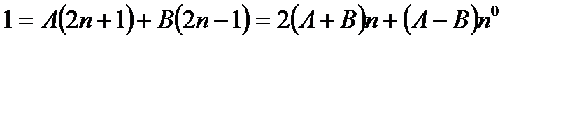
Записываем разложение дроби на простейшие с неорпеделенными коэффициентами:

Полученное равенство умножаем на знаменатель дроби и получаем тождество:

Сравнением коэффициентов при одинаковых степенях n, получаем систему уравнений:

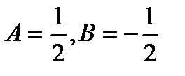
Из которых находим 
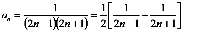
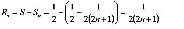
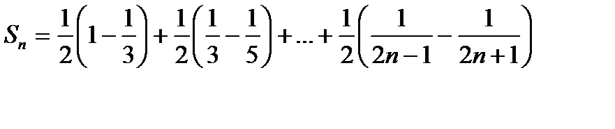
Таким образом 
Представляя теперь каждый член ряда в виде суммы двух слагаемых, мы получаем следующее выражение для n-й частичной суммы:
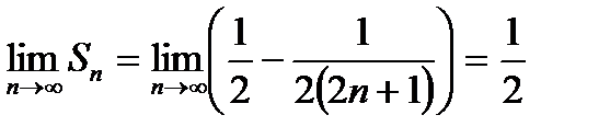
Очевидно, что в этой сумме все слагаемое попарно уничтожаются, кроме первого и последного, поэтому

Откуда: 
Следовательно, данный ряд сходится и его сумма 








