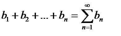
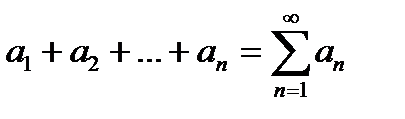
Если ряды
(15.1)
(15.9)
Сходится и их суммы соответственно равны
и
, то ряд
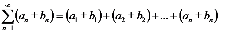
(15.10)
Также сходится и его сумма, соответственно, равна 
Докажем сходимость ряда (15.10). Обозначим его n-частичную сумму через
, а n-е частичные суммы рядов (15.2) и (15.9) соответственно через
и
получи м 
Переходя в этом неравенстве к пределу при
, получим 
то ряд (15.10) сходится и его сумма равна
.






