Обозначим n-ю частичную сумму ряда (15.2) через
, а ряда (15.8) через
, тогда
Отсюда ясно, что предел n-й частичной суммы ряда (33.8) существует, так как

Итак, ряд (15.8) сходится и его сумма равна сS.
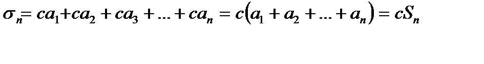
Обозначим n-ю частичную сумму ряда (15.2) через
, а ряда (15.8) через
, тогда
Отсюда ясно, что предел n-й частичной суммы ряда (33.8) существует, так как

Итак, ряд (15.8) сходится и его сумма равна сS.
|
|