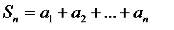
Пусть ряд
сходится, то есть имеет место равенство: 
где S-сумма ряда (то есть конечное фиксированное число), но тогда имеет место также равенство: 
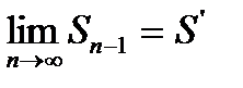
Так как при
и (n-1)
и, учитывая, что:


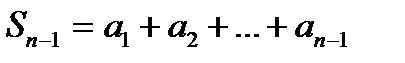
Далее вычитая почленно из первого второе, получим:

Или
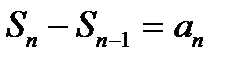
откуда вытекает утверждение теоремы.






