Если n-й член ряда не стремится к нулю при
, то ряд расходится.
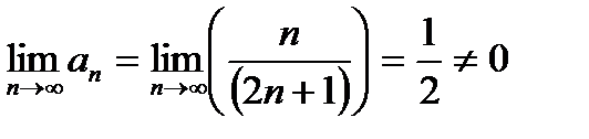
Пример 15.3
Ряд 
Расходится, так как

Пример 15.4 Ряд 
При
ряд расходится.
Критерий Коши
Вопрос о сходимости или расходимости ряда может быть решен с помощью следующей теоремы:
Если n-й член ряда не стремится к нулю при
, то ряд расходится.
Пример 15.3
Ряд 
Расходится, так как

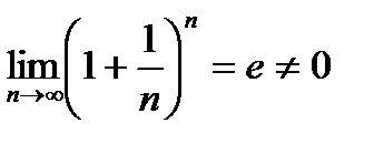
Пример 15.4 Ряд 
При
ряд расходится.
Критерий Коши
Вопрос о сходимости или расходимости ряда может быть решен с помощью следующей теоремы:
|
|